精英家教网 > 高中数学 > 题目详情

选修4—5:不等式选讲

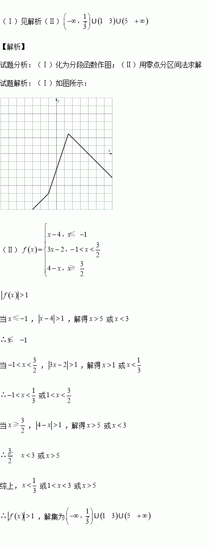
已知函数.

(Ⅰ)在图中画出的图像;

(Ⅱ)求不等式的解集.

练习册系列答案
相关习题

科目:高中数学 来源:2016年全国普通高等学校招生统一考试文科数学(全国3卷参考版) 题型:解答题

选修4-1:几何证明选讲

如图,⊙O中的中点为,弦分别交两点.

(Ⅰ)若,求的大小;

(Ⅱ)若的垂直平分线与的垂直平分线交于点,证明

查看答案和解析>>

科目:高中数学 来源:2016年全国普通高等学校招生统一考试理科数学(全国2卷参考版) 题型:选择题

如图,小明从街道的E处出发,先到F处与小红会合,再一起到位于G处的老年公寓参加志愿者活动,则小明到老年公寓可以选择的最短路径条数为( )

(A)24 (B)18 (C)12 (D)9

查看答案和解析>>

科目:高中数学 来源:2016年全国普通高等学校招生统一考试理科数学(全国1卷参考版) 题型:选择题

已知函数的零点,图像的对称轴,且单调,则的最大值为

(A)11 (B)9 (C)7 (D)5

查看答案和解析>>

科目:高中数学 来源:2016年全国普通高等学校招生统一考试理科数学(全国1卷参考版) 题型:选择题

已知方程表示双曲线,且该双曲线两焦点间的距离为4,则n的取值范围是

(A) (B) (C) (D)

查看答案和解析>>

科目:高中数学 来源:2016年全国普通高等学校招生统一考试文科数学(全国1卷参考版) 题型:解答题

某公司计划购买1台机器,该种机器使用三年后即被淘汰.机器有一易损零件,在购进机器时,可以额外购买这种零件作为备件,每个200元.在机器使用期间,如果备件不足再购买,则每个500元.现需决策在购买机器时应同时购买几个易损零件,为此搜集并整理了100台这种机器在三年使用期内更换的易损零件数,得下面柱状图:

记x表示1台机器在三年使用期内需更换的易损零件数,y表示1台机器在购买易损零件上所需的费用(单位:元),表示购机的同时购买的易损零件数.

(Ⅰ)若=19,求y与x的函数解析式;

(Ⅱ)若要求“需更换的易损零件数不大于”的频率不小于0.5,求的最小值;

(Ⅲ)假设这100台机器在购机的同时每台都购买19个易损零件,或每台都购买20个易损零件,分别计算这100台机器在购买易损零件上所需费用的平均数,以此作为决策依据,购买1台机器的同时应购买19个还是20个易损零件?

查看答案和解析>>

科目:高中数学 来源:2016年全国普通高等学校招生统一考试文科数学(全国1卷参考版) 题型:选择题

若函数单调递增,则a的取值范围是

(A) (B) (C) (D)

查看答案和解析>>

科目:高中数学 来源:2015-2016学年四川省成都市高二下入学考试文科数学试卷(解析版) 题型:解答题

某企业准备投资1200万元兴办一所中学,对当地教育市场进行调查后,得到了如下的数据表格(以班级为单位):

学段

硬件建设(万元)

配备教师数

教师年薪(万元)

初中

26 / 班

2 / 班

2 / 人

高中

54 / 班

3 / 班

2 / 人

因生源和环境等因素,全校总班级至少20个班,至多30个班。

(Ⅰ)请用数学关系式表示上述的限制条件;(设开设初中班x个,高中班y个)

(Ⅱ)若每开设一个初、高中班,可分别获得年利润2万元、3万元,请你合理规划办学规模使年利润最大,最大为多少?

查看答案和解析>>

科目:高中数学 来源:2015-2016学年浙江省高一下3月联考数学试卷(解析版) 题型:解答题

已知等比数列中,,且,公比

(1)求

(2)设,求数列的前项和

查看答案和解析>>

同步练习册答案