精英家教网 > 高中数学 > 题目详情
若关于x的方程x2-x+m=0和x2-x+n=0(m,n∈R,且m≠n)的四个根组成首项为的等差数列,求m+n的值。
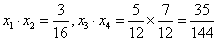
解:设的根分别为

设数列的首项为x1,则根据等差数列的性质,数列的第4项为x2
由题知
,数列的公差
∴数列的中间两项分别为

练习册系列答案
相关习题

科目:高中数学 来源: 题型:

△ABC中三个内角为A、B、C,若关于x的方程x2-xcosAcosB-cos2
C
2
=0有一根为1,则△ABC一定是(  )
A、直角三角形
B、等腰三角形
C、锐角三角形
D、钝角三角形

查看答案和解析>>

科目:高中数学 来源: 题型:

若关于x的方程x2+ax-1=0在(-1,2)内恰好有一个解,则a的范围是
 

查看答案和解析>>

科目:高中数学 来源: 题型:

7、若关于x的方程x2+(2-m2)x+2m=0的两根一个比1大一个比1小,则m的范围是
m>3或m<-1

查看答案和解析>>

科目:高中数学 来源: 题型:

若关于x的方程x2+2(a-1)x+2a+6=0有一正一负两实数根,则实数a的取值范围
a<-3
a<-3

查看答案和解析>>

科目:高中数学 来源: 题型:

若关于x的方程x2-4|x|+5=m有四个不同的实数解,则实数m的取值范围是(  )

查看答案和解析>>

同步练习册答案