精英家教网 > 高中数学 > 题目详情
已知等差数列{an}各项均为正整数,a1=3,前n项和为Sn,等比数列{bn}中,b1=1,且b2S2=64,是公比为64的等比数列。
(Ⅰ)求数列{an}与数列{bn}的通项公式;
(Ⅱ)证明:++…+
解:(1)设等差数列{}的公差为d,等比数列{}的公比为q,
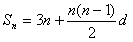
由题意易知d≥0,且d∈N*,则an=3+(n-1)d,
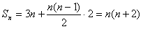
可得,     ①
为公比为64的等比数列,
,∴,    ②
联立①、②及d≥0,且d∈N*可解得q = 8,d = 2,
∴数列{}通项公式为an=2n+1 ,n∈N*,数列{}通项公式为,n∈N*
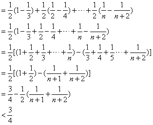
(2)由(1)知,,n∈N*,
,n∈N*,

练习册系列答案
相关习题

科目:高中数学 来源: 题型:

已知等差数列{an},公差d不为零,a1=1,且a2,a5,a14成等比数列;
(1)求数列{an}的通项公式;
(2)设数列{bn}满足bn=an3n-1,求数列{bn}的前n项和Sn

查看答案和解析>>

科目:高中数学 来源: 题型:

已知等差数列{an}中:a3+a5+a7=9,则a5=
 

查看答案和解析>>

科目:高中数学 来源: 题型:

已知等差数列{an}满足:a5=11,a2+a6=18.
(1)求{an}的通项公式;
(2)若bn=an+q an(q>0),求数列{bn}的前n项和Sn

查看答案和解析>>

科目:高中数学 来源: 题型:

已知等差数列{an}满足a2=0,a6+a8=-10
(1)求数列{an}的通项公式;     
(2)求数列{|an|}的前n项和;
(3)求数列{
an2n-1
}的前n项和.

查看答案和解析>>

科目:高中数学 来源: 题型:

精英家教网已知等差数列{an}中,a4a6=-4,a2+a8=0,n∈N*
(Ⅰ)求数列{an}的通项公式;
(Ⅱ)若{an}为递增数列,请根据如图的程序框图,求输出框中S的值(要求写出解答过程).

查看答案和解析>>

同步练习册答案