精英家教网 > 高中数学 > 题目详情

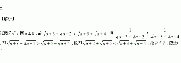
,则p、q的大小关系是( )

A. B. C. D.由的取值确定

练习册系列答案
相关习题

科目:高中数学 来源:2016届陕西省安康市高三第三次联考文科数学试卷(解析版) 题型:选择题

如图, 在平行四边形中,的中点, 且,则( )

A. B.

C. D.

查看答案和解析>>

科目:高中数学 来源:2016届陕西省高三下第六次模拟文科数学试卷(解析版) 题型:选择题

对于函数有以下三种说法:①是函数的图象的一个对称中心;②函数的最小正周期是;③函数上单调递减.其中说法正确的个数是( )

A.0 B.1 C.2 D.3

查看答案和解析>>

科目:高中数学 来源:2015-2016学年福建福州八中高二下期中理科数学试卷(解析版) 题型:选择题

已知n∈N*,则(20-n)(21-n)……(100-n)等于( )

A. B. C. D.

查看答案和解析>>

科目:高中数学 来源:2015-2016学年福建福州八中高二下期中理科数学试卷(解析版) 题型:填空题

复数z=i(i+1)(i为虚数单位)的共轭复数=

查看答案和解析>>

科目:高中数学 来源:2015-2016学年福建福州八中高二下期中理科数学试卷(解析版) 题型:选择题

定积分等于( )

A.-3 B.3 C.-6 D.6

查看答案和解析>>

科目:高中数学 来源:2015-2016学年广东广州执信中学高二下期末理科数学试卷(解析版) 题型:解答题

设数列的前项和为,已知.

(1)求通项公式

(2)设,求数列的前项和

查看答案和解析>>

科目:高中数学 来源:2015-2016学年甘省高一下期末文科数学试卷(解析版) 题型:解答题

已知函数

(1)求函数的最小正周期和单调增区间;

(2)已知的三个内角的对边分别为,其中,若锐角满足,且,求的值.

查看答案和解析>>

科目:高中数学 来源:2015-2016学年广东实验中学等高二下期末文科数学试卷(解析版) 题型:解答题

在△ABC中,内角A、B、C的对边分别为a,b,c,且

(Ⅰ)求∠C;

(Ⅱ)若,求∠B及△ABC的面积.

查看答案和解析>>

同步练习册答案