精英家教网 > 高中数学 > 题目详情

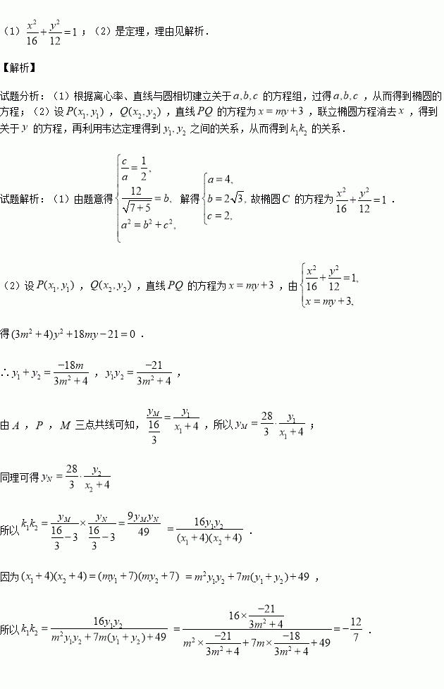
(本小题满分12分)已知椭圆的离心率为,以原点为圆心,椭圆的短半轴长为半径的圆与直线相切.

(1)求椭圆的方程;

(2)设,过点作与轴不重合的直线交椭圆两点,连接分别交直线两点,若直线的斜率分别为,试问:是否为定值?若是,求出该定值,若不是,请说明理由.

练习册系列答案
相关习题

科目:高中数学 来源:2015-2016学年山东省临沂市高二上期中模拟理数学试卷(解析版) 题型:填空题

在等差数列{an} 中,Sn是它的前n项和.若S16>0,且S17<0,则当Sn最大时n的值为________

查看答案和解析>>

科目:高中数学 来源:2015-2016学年湖北省宜昌市高二上期中文科数学试卷(解析版) 题型:选择题

若已知A(1,1,1),B(-3,-3,-3),则线段AB的长为( )

A.4 B.2 C.4 D.3

查看答案和解析>>

科目:高中数学 来源:2015-2016学年广东省普宁市高二上期中理科数学试卷(解析版) 题型:解答题

(本小题满分14分)

设双曲线C:(a>0,b>0)的一个焦点坐标为(,0),离心率, A、B是双曲线上的两点,AB的中点M(1,2).

(1)求双曲线C的方程;

(2)求直线AB方程;

(3)如果线段AB的垂直平分线与双曲线交于C、D两点,那么A、B、C、D四点是否共圆?为什么?

查看答案和解析>>

科目:高中数学 来源:2016届重庆市高三上学期第三次月考文科数学试卷(解析版) 题型:填空题

已知球的表面积为,用一个平面截球,使截面圆的半径为2,则球心到截面的距离为

查看答案和解析>>

科目:高中数学 来源:2016届云南省玉溪市高三上学期期中文科数学试卷(解析版) 题型:解答题

(本小题满分12分)设F1,F2分别是椭圆的左、右焦点,过的直线相交 于A,B两点,且|AF2|,|AB|,|BF2|成等差数列.

(1)求|AB|;

(2)若直线的斜率为1,求实数的值.

查看答案和解析>>

科目:高中数学 来源:2016届云南省玉溪市高三上学期期中理科数学试卷(解析版) 题型:填空题

一个空间几何体的三视图如图所示,且这个空间几何体的所有顶点都在同一个球面上,则这个球的表面积是

查看答案和解析>>

科目:高中数学 来源:2016届辽宁省抚顺市高三上学期第一次模拟文科数学试卷(解析版) 题型:填空题

某学院的三个专业共有1200名学生,为了调查这些学生勤工俭学的情况,拟采用分层抽样的方法抽取一个容量为120的样本,已知该学院的专业有380名学生,专业有420名学生,则在该学院的专业应抽取学生__________名.

查看答案和解析>>

科目:高中数学 来源:2015-2016学年吉林省高一上学期期中数学试卷(解析版) 题型:选择题

设函数定义在实数集上,,且当时,,则有

(A)

(B)

(C)

(D)

查看答案和解析>>

同步练习册答案