精英家教网 > 高中数学 > 题目详情

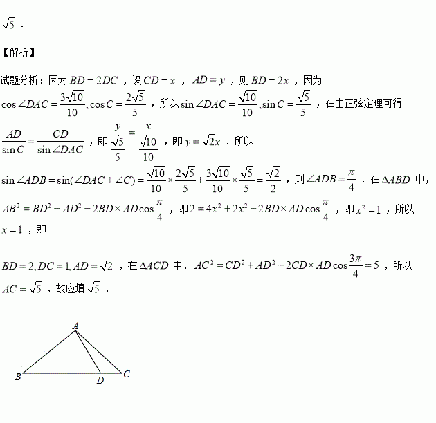
中,,点在边上,,则

练习册系列答案
相关习题

科目:高中数学 来源:2016届湖南师范大学附中高三上学期月考三文科数学试卷(解析版) 题型:解答题

选修4—4:坐标系与参数方程

极坐标系与直角坐标系有相同的长度单位,以原点为极点,以轴正半轴为极轴,曲线的极坐标方程为,曲线的参数方程为为参数,),射线与曲线交于(不包括极点)三点

(1)求证:

(2)当时,两点在曲线上,求的值.

查看答案和解析>>

科目:高中数学 来源:2015-2015学年云南省玉溪市高一上学期期中数学试卷(解析版) 题型:解答题

设函数是定义域为的奇函数.

(1)若,解关于不等式

(2)若,且,求在区间上的最小值.

查看答案和解析>>

科目:高中数学 来源:2016届河北省高三上学期期中数学试卷(解析版) 题型:解答题

某商店计划每天购进某商品若干件,商店每销售一件该商品可获利润50元.供大于求时,剩余商品全部退回,但每件商品亏损10元;若供不应求,则从外部调剂,此时每件调剂商品可获利30元.

(1)若商店一天购进该商品10件,求当天的利润(单位:元)关于当天需求量(单位:件,)的函数解析式;

(2)商店记录了50天该商品的日需求量(单位:件),整理得下表:

若商店一天购进10件该商品,以50天记录的各需求量的频率作为各需求量发生的概率,求该商品一天的利润的分布列及平均值.

查看答案和解析>>

科目:高中数学 来源:2016届山东省高三11月月考数学试卷(解析版) 题型:填空题

若函数在区间上是增函数,则实数的取值范围是________.

查看答案和解析>>

科目:高中数学 来源:2016届辽宁省抚顺市高三12月月考理科数学试卷(解析版) 题型:解答题

已知函数

(1)求的单调区间和极值;

(2)设,且,证明:

查看答案和解析>>

科目:高中数学 来源:2016届湖南师大附中高三月考四文科数学试卷(解析版) 题型:填空题

如图,在中,为边上一点,且上一点,且满足,则的最小值为

查看答案和解析>>

科目:高中数学 来源:2015-2016学年江西省吉安市高二上期中文科数学试卷(解析版) 题型:选择题

如图,网格纸上小正方形的边长为1,粗实线画出的是某多面体的三视图,则该多面体的各面中,面积最大的是( )

A.8 B.C.12 D.16

查看答案和解析>>

科目:高中数学 来源:2016届北京市朝阳区高三上学期期中统一考试理科数学试卷(解析版) 题型:解答题

已知等差数列的首项,公差,前项和为,且

(Ⅰ)求数列的通项公式;

(Ⅱ)求证:

查看答案和解析>>

同步练习册答案