精英家教网 > 高中数学 > 题目详情
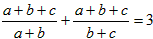
△ABC的三个内角A、B、C成等差数列,求证:
证明:要证
即需证
即证
即c(b+c)+a(a+b)=(a+b)(b+ c),
只需证c2+a2=ac+b2
∵△ABC的三个内角A、B、C成等差数列,
∴B=60°,
由余弦定理,有b2=c2+a2-2cacos60°,
即b2=c2+a2-ac,
∴c2+a2=ac+b2,命题得证。
练习册系列答案
相关习题

科目:高中数学 来源: 题型:

已知a,b,c分别是△ABC的三个内角A,B,C所对的边,若a=1,b=
3
,A+C=2B
,则sinC=(  )
A、0B、2C、1D、-1

查看答案和解析>>

科目:高中数学 来源: 题型:

△ABC的三个内角A、B、C的对边分别是a,b,c,给出下列命题:
①若sinBcosC>-cosBsinC,则△ABC一定是钝角三角形;
②若sin2A+sin2B=sin2C,则△ABC一定是直角三角形;
③若bcosA=acosB,则△ABC为等腰三角形;
④在△ABC中,若A>B,则sinA>sinB;
其中正确命题的序号是
②③④
②③④
.(注:把你认为正确的命题的序号都填上)

查看答案和解析>>

科目:高中数学 来源: 题型:

已知△ABC的三个内角A,B,C的对边分别为a,b,c,且a,b,c成等比数列
(1)若sinC=2sinA,求cosB的值;
(2)求角B的最大值.并判断此时△ABC的形状.

查看答案和解析>>

科目:高中数学 来源: 题型:

已知a,b,c分别为△ABC的三个内角A,B,C的对边,
m
=(-
3
,sinA),
n
=(cosA,1)
,且
m
n

(Ⅰ)求角A的大小;
(Ⅱ)若a=2,△ABC的面积为
3
,求b,c.

查看答案和解析>>

科目:高中数学 来源: 题型:

已知a,b,c分别是△ABC的三个内角A,B,C所对的边,若a=1,b=
3
,B=60°,则sinC=
1
1

查看答案和解析>>

同步练习册答案