精英家教网 > 高中数学 > 题目详情

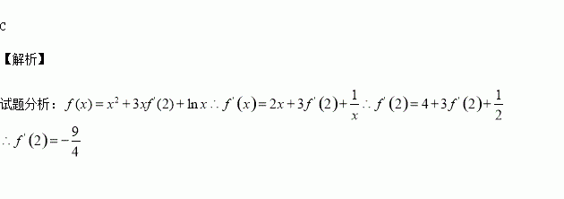
已知函数的导函数为,且满足关系式,则的值等于( )

A.2 B.﹣2 C. D.

练习册系列答案
相关习题

科目:高中数学 来源:2015-2016学年广东省东莞市南开实验高二下期初考试文科数学试卷(解析版) 题型:选择题

如果复数Z满足|Z+i|+|Z﹣i|=2,那么|Z+i+1|最小值是( )

A.1 B. C.2 D.

查看答案和解析>>

科目:高中数学 来源:2015-2016学年山东省高二下学期第一次月考理科数学试卷(解析版) 题型:解答题

求由直线及曲线所围成的图形的面积.

查看答案和解析>>

科目:高中数学 来源:2015-2016学年广东省东莞市南开实验高二下期初考试理科数学试卷(解析版) 题型:解答题

已知函数的图象在点处的切线的方程为

(I)若对任意恒成立,求实数的取值范围;

( II )若函数在区间内有零点,求实数的最大值。

查看答案和解析>>

科目:高中数学 来源:2015-2016学年广东省东莞市南开实验高二下期初考试理科数学试卷(解析版) 题型:填空题

已知函数处取得极值,并且它的图象与直线在点(1,0)处相切,则函数的表达式为

查看答案和解析>>

科目:高中数学 来源:2015-2016学年广东省东莞市南开实验高二下期初考试理科数学试卷(解析版) 题型:选择题

函数有( )

A.极大值5,无极小值 B.极小值﹣27,无极大值

C.极大值5,极小值﹣27 D.极大值5,极小值﹣11

查看答案和解析>>

科目:高中数学 来源:2015-2016学年江西省宜春市高二下第一次月考文科数学试卷(解析版) 题型:解答题

已知函数.

(Ⅰ)讨论函数的单调性;

(Ⅱ)若对任意时,恒有成立,求实数的范围.

查看答案和解析>>

科目:高中数学 来源:2015-2016学年江西省宜春市高二下第一次月考文科数学试卷(解析版) 题型:选择题

若复数z满足为虚数单位,则在复平面内z对应的点的坐标是( )

A.(4,-2) B.(4,2) C.(2,-4) D.(2,4)

查看答案和解析>>

科目:高中数学 来源:2015-2016学年江西省高二下学期第一次月考文科数学试卷(解析版) 题型:选择题

在平面直角坐标系xOy中,点P的直角坐标为(1,-).若以原点O为极点,x轴正半轴为极轴建立极坐标系,则点P的极坐标可以是( )

A.(1,-) B.(2,) C.(2,-) D.(2,-

查看答案和解析>>

同步练习册答案