精英家教网 > 高中数学 > 题目详情

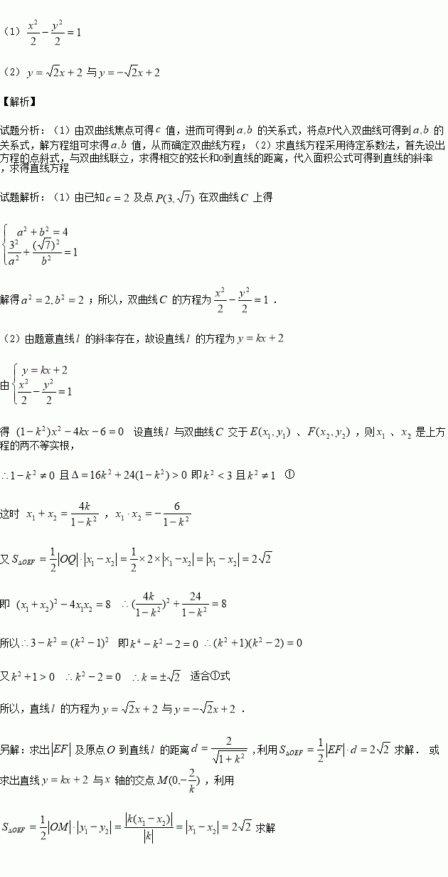
(12分)已知双曲线的两个焦点为在双曲线C上.

(1)求双曲线C的方程;

(2)记O为坐标原点,过点Q (0,2)的直线l与双曲线C相交于不同的两点E、F,若△OEF的面积为求直线l的方程.

练习册系列答案
相关习题

科目:高中数学 来源:2014-2015学年浙江省嵊州市高一下学期期末检测数学试卷(解析版) 题型:填空题

已知都是锐角,,则

查看答案和解析>>

科目:高中数学 来源:2014-2015学年山西省高二下学期期中文科数学试卷(解析版) 题型:选择题

是虚数单位,则复数在复平面内对应的点在

A.第一象限 B.第二象限 C.第三象限 D.第四象限

查看答案和解析>>

科目:高中数学 来源:2014-2015学年江西省上饶市等四校高一6月考理科数学试卷(解析版) 题型:选择题

设数列中,已知,则( )

A、 B、 C、 D、

查看答案和解析>>

科目:高中数学 来源:2014-2015学年湖北武汉一中等重点中学高一下学期期中理科数学试卷(解析版) 题型:解答题

如图,经过村庄A有两条夹角为60°的公路AB,AC,根据规划拟在两条公路之间的区域内建一工厂P,分别在两条公路边上建两个仓库M、N (异于村庄A),要求PM=PN=MN=2(单位:千米).如何设计, 可以使得工厂产生的噪声对居民的影响最小(即工厂与村庄的距离最远).

查看答案和解析>>

科目:高中数学 来源:2014-2015学年贵州省高二上学期期中文科数学试卷(解析版) 题型:选择题

在如图所示的“茎叶图”表示的数据中,众数和中位数分别 ( )。

A.23与26 B.31与26

C.24与30 D.26与30

查看答案和解析>>

科目:高中数学 来源:2014-2015学年甘肃省高一下学期期中考试数学试卷(解析版) 题型:填空题

已知,则

查看答案和解析>>

科目:高中数学 来源:2015-2016学年重庆市高一10月月考数学试卷(解析版) 题型:解答题

(本小题满分12分,(Ⅰ)小问4分,(Ⅱ)小问4分,(Ⅲ)小问4分)

定义在上的函数满足条件:对所有正实数x,y成立,且,当时,有成立.

(Ⅰ)求的值;

(Ⅱ)证明:函数上为单调递增函数;

(Ⅲ)解关于x的不等式:

查看答案和解析>>

科目:高中数学 来源:2015-2016学年河北衡水冀州中学高二上期中文科数学B卷(解析版) 题型:选择题

某产品的广告费用x与销售额y的统计数据如下表:

广告费用x(万元)

4

2

3

5

销售额y(万元)

49

26

39

54

根据上表可得回归方程y=bx+a中的b为9.4,据此模型预报广告费用为6万元时,销售额约为( )

A.63.6万元 B.65.5万元 C.67.7万元 D.72.0万元

查看答案和解析>>

同步练习册答案