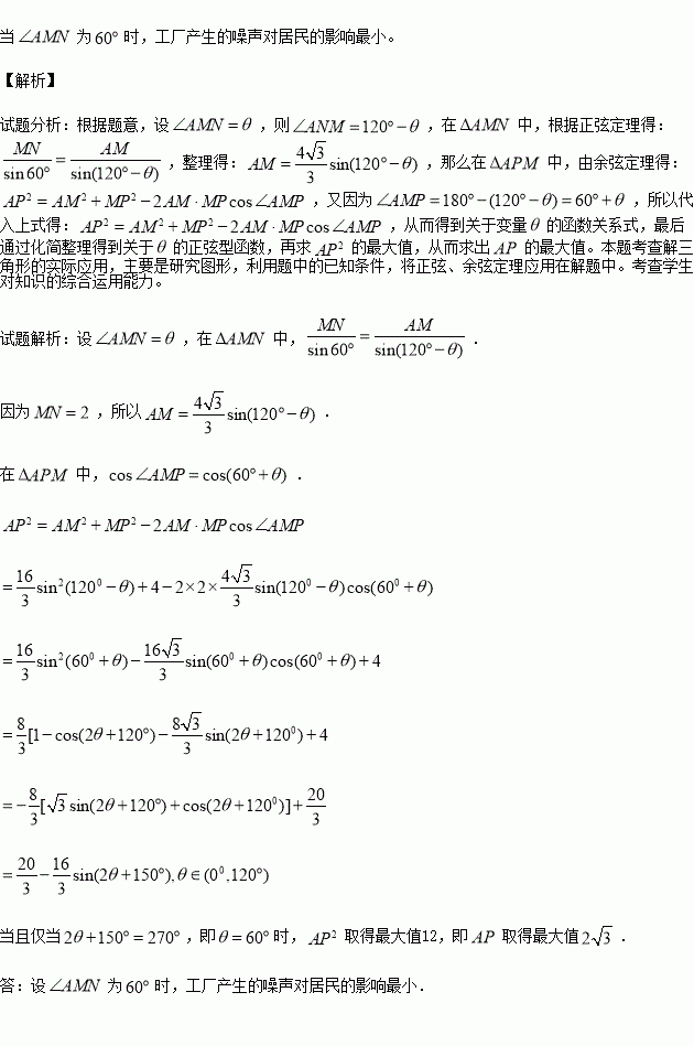
如图,经过村庄A有两条夹角为60°的公路AB,AC,根据规划拟在两条公路之间的区域内建一工厂P,分别在两条公路边上建两个仓库M、N (异于村庄A),要求PM=PN=MN=2(单位:千米).如何设计, 可以使得工厂产生的噪声对居民的影响最小(即工厂与村庄的距离最远).
![]()
科目:高中数学 来源:2014-2015学年四川省高一下学期月考测文科数学试卷(解析版) 题型:填空题
下列命题: 在
中,内角
所对的边分别为
,给出下列结论:
①若
,则
;
②若
,则
为等边三角形;
③必存在
,使
成立;
④若
,则
必有两解.其中,结论正确的编号为 (注:把你认为正确的序号都填上).
查看答案和解析>>
科目:高中数学 来源:2014-2015学年江西省上饶市等四校高一6月考理科数学试卷(解析版) 题型:解答题
(本题满分12分)
已知数列
及![]()
,
,
.
(Ⅰ)求
的值,并求数列
的通项公式;
(Ⅱ)设
,求数列
的前
项和
;
(Ⅲ)若
对一切正整数
恒成立,求实数
的取值范围。
查看答案和解析>>
科目:高中数学 来源:2014-2015学年吉林省长春市高一下学期期末理科数学试卷(解析版) 题型:解答题
(本小题满分10分)已知某几何体的俯视图是如图所示的矩形,正视图是一个底边长为8,高为4的等腰三角形,侧视图是一个底边长为6,高为4的等腰三角形
![]()
(1)求该几何体的体积V;
(2)求该几何体的侧面积S.
查看答案和解析>>
科目:高中数学 来源:2014-2015学年贵州省高二上学期期中文科数学试卷(解析版) 题型:解答题
(12分)已知双曲线
的两个焦点为
、
点
在双曲线C上.
(1)求双曲线C的方程;
(2)记O为坐标原点,过点Q (0,2)的直线l与双曲线C相交于不同的两点E、F,若△OEF的面积为
求直线l的方程.
查看答案和解析>>
科目:高中数学 来源:2014-2015学年贵州省高二上学期期中理科数学试卷(解析版) 题型:解答题
(12分)某公务员去开会,他乘火车、轮船、汽车、飞机去的概率分别是0.3、0.2、0.1、0.4,求:
(1)他乘火车或乘飞机去的概率;
(2)他不乘轮船去的概率
(3)如果他乘交通工具去的概率为0.5,请问他有可能是乘何种交通工具去的?
查看答案和解析>>
科目:高中数学 来源:2016届西藏日喀则一中高三10月检测理科数学试卷(解析版) 题型:解答题
(本小题满分12分)椭圆![]()
(
)的上顶点为
,
是
上的一点,以
为直径的圆经过椭圆
的右焦点
.
(1)求椭圆
的方程;
(2)动直线
与椭圆
有且只有一个公共点,问:在
轴上是否存在两个定点,它们到直线
的距离之积等于
?如果存在,求出这两个定点的坐标;如果不存在,说明理由.
查看答案和解析>>
科目:高中数学 来源:2015-2016学年湖北宜昌一中高二上学期期中理科数学试卷(解析版) 题型:选择题
若直线
与圆
的两个交点关于直线
对称,则
的值分别为
A.
,
B.
,
C.
,
D.
, ![]()
查看答案和解析>>
湖北省互联网违法和不良信息举报平台 | 网上有害信息举报专区 | 电信诈骗举报专区 | 涉历史虚无主义有害信息举报专区 | 涉企侵权举报专区
违法和不良信息举报电话:027-86699610 举报邮箱:58377363@163.com