精英家教网 > 高中数学 > 题目详情
如图,在四棱锥P-ABCD中,PA⊥底面ABCD,AB⊥AD,AC⊥CD,∠ABC=60°,PA=AB=BC,E是PC的中点,
(Ⅰ)证明:CD⊥AE;
(Ⅱ)证明:PD⊥平面ABE;
(Ⅲ)求二面角A-PD-C的大小。
(Ⅰ)证明:在四棱锥P-ABCD中,
因PA⊥底面平面ABCD,
故PA⊥CD,
∵AC⊥CD,PA∩AC=A,
∴CD⊥平面PAC,
平面PAC,
∴AE⊥CD。
(Ⅱ)证明:由PA=AB=BC,∠ABC=60°,
可得AC=PA,
∵E是PC的中点,
∴AE⊥PC,
由(Ⅰ)知,AE⊥CD,且PC∩CD=C,
所以AE⊥平面PCD,
平面PCD,
∴AE⊥PD,
∵PA⊥底面ABCD,PD在底面ABCD内射影是AD,AB⊥AD,
∴AB⊥PD,
又AB∩AE=A,
综上得PD⊥平面ABE。
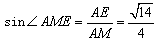
(Ⅲ)解:过点A作AM⊥PD,垂足为M,连结EM,
由(Ⅱ)知,AE⊥平面PCD,AM在平面PCD内的射影是EM,
则EM⊥PD,因此∠AME是二面角A-PD-C的平面角,
由已知,得
设AC=a,可得
中,
∵AM⊥PD,
∴AM·PD=PA·AD,

中,
所以二面角A-PD-C的大小是
练习册系列答案
相关习题

科目:高中数学 来源: 题型:

精英家教网如图,在四棱锥P-ABCD中,底面ABCD是矩形.已知AB=3,AD=2,PA=2,PD=2
2
,∠PAB=60°.
(1)证明AD⊥PB;
(2)求二面角P-BD-A的正切值大小.

查看答案和解析>>

科目:高中数学 来源: 题型:

如图,在四棱锥P-ABCD中,PA⊥平面ABCD,四边形ABCD为正方形,AB=4,PA=3,点A在PD上的射影为点G,点E在AB上,平面PEC⊥平面PDC.
(1)求证:AG∥平面PEC;
(2)求AE的长;
(3)求二面角E-PC-A的正弦值.

查看答案和解析>>

科目:高中数学 来源: 题型:

如图,在四棱锥P-ABCD中,PA⊥底面ABCD,∠BCD=120°,BC⊥AB,CD⊥AD,BC=CD=PA=a,
(Ⅰ)求证:平面PBD⊥平面PAC.
(Ⅱ)求四棱锥P-ABCD的体积V.

查看答案和解析>>

科目:高中数学 来源: 题型:

如图,在四棱锥P-ABCD中,底面是边长为a的菱形,∠ABC=60°PD⊥面ABCD,PC=a,E为PB中点
(1)求证;平面ACE⊥面ABCD;
(2)求三棱锥P-EDC的体积.

查看答案和解析>>

科目:高中数学 来源: 题型:

(2008•武汉模拟)如图,在四棱锥P-ABCD中,底面ABCD是直角梯形,BC∥AD,且∠BAD=90°,又PA⊥底面ABCD,BC=AB=PA=1,AD=2.
(1)求二面角P-CD-A的平面角正切值,
(2)求A到面PCD的距离.

查看答案和解析>>

同步练习册答案