精英家教网 > 高中数学 > 题目详情

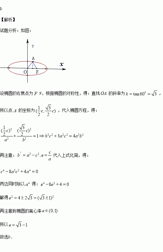
为椭圆的一个焦点,若椭圆上存在点使为正三角形,那么椭圆的离心率为( )

A. B. C. D.

练习册系列答案
相关习题

科目:高中数学 来源:2016届宁夏石嘴山三中高三补习班上第三次适应性考试数学试卷(解析版) 题型:选择题

(2015•咸阳一模)函数f(x)=ln(x﹣)的图象大致是( )

A.

B.

C.

D.

查看答案和解析>>

科目:高中数学 来源:2015-2016学年四川省高二上周末练习理科数学卷(解析版) 题型:解答题

如图,已知二面角的大小为于C,,且.

(1)求异面直线所成角的大小;

(2)求点到直线的距离.

查看答案和解析>>

科目:高中数学 来源:2015-2016学年四川省高二上期中文科数学试卷(解析版) 题型:选择题

若直线mx+ny+2=0(m>0,n>0)截得圆(x+3)2+(y+1)2=1的弦长为2,则 的最小值为( )

A.4 B.12 C.16 D.6

查看答案和解析>>

科目:高中数学 来源:2016届黑龙江省高三12月考理科数学试卷(解析版) 题型:选择题

已知是两个不同的平面,是两条不同的直线,则下列命题不正确的是( )

A.若,则

B.若,则

C.若,则

D.若,则

查看答案和解析>>

科目:高中数学 来源:2016届云南省玉溪市高三第四次月考文科数学试卷(解析版) 题型:填空题

已知函数,则曲线在点处的切线方程为

查看答案和解析>>

科目:高中数学 来源:2015-2016学年云南省昭通市高二上12月月考理科数学卷(解析版) 题型:选择题

(2010秋•郑州期末)两条平行线l1:3x+4y﹣2=0,l2:ax+6y=5的距离等于( )

A. B. C. D.

查看答案和解析>>

科目:高中数学 来源:2015-2016学年辽宁省沈阳市指南针教育高一上第一次月考数学试卷(解析版) 题型:选择题

(2015秋•沈阳月考)设集合S=|x|x<﹣1或x>5},T={x|a<x<a+8},且S∪T=R,则实数a的取值范围是( )

A.﹣3<a<﹣1 B.﹣3≤a≤﹣1

C.a≤﹣3或a≥﹣1 D.a<﹣3或a>﹣1

查看答案和解析>>

科目:高中数学 来源:2015-2016学年黑龙江省高一上11月月考数学试卷(解析版) 题型:填空题

(2014秋•武汉校级期末)函数f(x)=|sin+cos|+|sin﹣cos|﹣在区间[﹣π,π]上的零点分别是

查看答案和解析>>

同步练习册答案