精英家教网 > 高中数学 > 题目详情

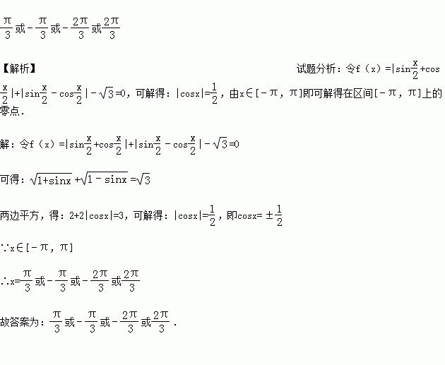
(2014秋•武汉校级期末)函数f(x)=|sin+cos|+|sin﹣cos|﹣在区间[﹣π,π]上的零点分别是

练习册系列答案
相关习题

科目:高中数学 来源:2016届黑龙江省高三12月考文科数学试卷(解析版) 题型:选择题

为椭圆的一个焦点,若椭圆上存在点使为正三角形,那么椭圆的离心率为( )

A. B. C. D.

查看答案和解析>>

科目:高中数学 来源:2015-2016学年辽宁省高二上10月月考理科数学试卷(解析版) 题型:解答题

(2009•全国卷Ⅱ)某车间甲组有10名工人,其中有4名女工人;乙组有10名工人,其中有6名女工人.现采用分层抽样(层内采用不放回简单随即抽样)从甲、乙两组中共抽取4名工人进行技术考核.

(1)求从甲、乙两组各抽取的人数;

(2)求从甲组抽取的工人中恰有1名女工人的概率;

(3)求抽取的4名工人中恰有2名男工人的概率.

查看答案和解析>>

科目:高中数学 来源:2015-2016学年吉林省高二上11月月考文科数学试卷(解析版) 题型:解答题

(2015秋•吉林校级月考)在等差数列{an}中,公差d=2,a2是a1与a4的等比中项.

(Ⅰ)求数列{an}的通项公式;

(Ⅱ)设,数列的前n项和为Tn,求Tn.

查看答案和解析>>

科目:高中数学 来源:2015-2016学年湖南省益阳市高二上12月月考文科数学试卷(解析版) 题型:选择题

(2013•梅州二模)设点P在曲线y=ex上,点Q在曲线y=lnx上,则|PQ|的最小值为( )

A. B.(1﹣ln2)

C. D.(1+ln3)

查看答案和解析>>

科目:高中数学 来源:2015-2016学年河南省高二上12月月考文科数学试卷(解析版) 题型:解答题

(2015春•南昌校级期末)设函数f(x)=ax2+(b﹣2)x+3(a≠0)

(1)若不等式f(x)>0的解集(﹣1,3).求a,b的值;

(2)若f(1)=2,a>0,b>0求+的最小值.

查看答案和解析>>

科目:高中数学 来源:2015-2016学年广东省顺德市高二上第二次段考文科数学试卷(解析版) 题型:填空题

(2013秋•南溪县校级期中)直二面角α﹣l﹣β的棱l上有一点A,在平面α,β内各有一条射线AB,AC与l成45°,AB?α,AC?β,则∠BAC=

查看答案和解析>>

科目:高中数学 来源:2015-2016学年江西省南昌市高一10月月考数学试卷(解析版) 题型:选择题

已知,则f(3)为( )

A.2 B.3 C.4 D.5

查看答案和解析>>

科目:高中数学 来源:2015-2016学年陕西省西安市高二上学期期中考试理科数学试卷(解析版) 题型:填空题

在△ABC中,cosA=,sinB=,则cosC的值为

查看答案和解析>>

同步练习册答案