精英家教网 > 高中数学 > 题目详情

选修4-5:不等式选讲

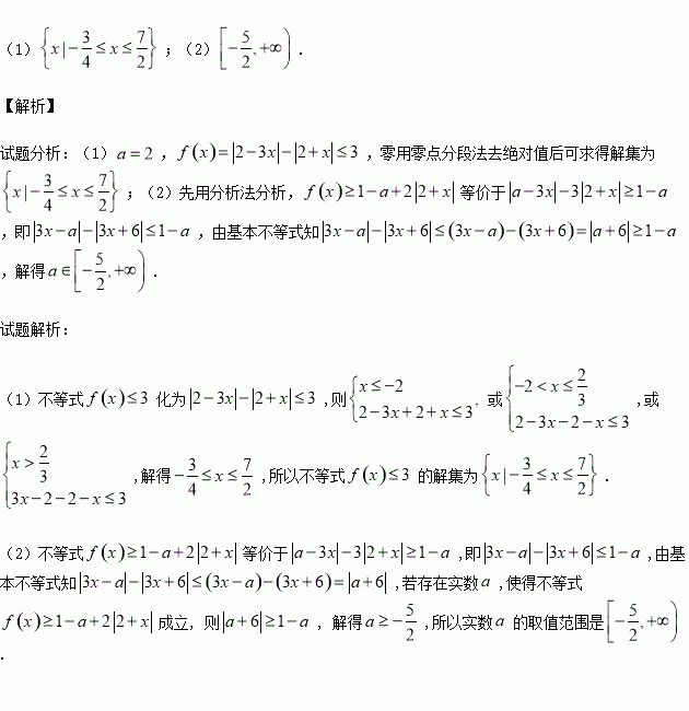
已知函数.

(1)若,解不等式

(2)若存在实数 , 使得不等式成立,求实数的取值范围.

练习册系列答案
相关习题

科目:高中数学 来源:2016届山西晋城市高三下学期第二次模拟数学(文)试卷(解析版) 题型:解答题

选修4-5:不等式选讲

设函数.

(1)求不等式的解集;

(2)若方程恰有两个不同的实数解,求实数的取值范围.

查看答案和解析>>

科目:高中数学 来源:2016-2017学年河北枣强中学高一上学期月考一数学试卷(解析版) 题型:选择题

若函数的定义域为,值域为,则函数的图象可能是( )

查看答案和解析>>

科目:高中数学 来源:2017届河北衡水中学高三上学期第二次调研数学(理)试卷(解析版) 题型:选择题

已知满足,则( )

A. B. C. D.

查看答案和解析>>

科目:高中数学 来源:2017届河北衡水中学高三上学期第二次调研数学(理)试卷(解析版) 题型:选择题

动点满足,点为原点,,则的最大值是( )

A. B. C. D.

查看答案和解析>>

科目:高中数学 来源:2017届河北衡水中学高三上学期第二次调研数学(文)试卷(解析版) 题型:解答题

(本小题满分12分)在中,角所对的边分别为,且.

(1)求角的大小;

(2)求的取值范围.

查看答案和解析>>

科目:高中数学 来源:2017届河北衡水中学高三上学期第二次调研数学(文)试卷(解析版) 题型:选择题

已知函数是定义域为的偶函数,当,时,,若关于的方程有且仅有个不同的实数根,则实数的取值范围是( )

A. B.

C. D.

查看答案和解析>>

科目:高中数学 来源:2017届湖北黄冈中学高三上学期周末测试9.10数学试卷(解析版) 题型:解答题

设命题命题,如果命题“p或q”是真命题,命题“p且q”是假命题,求实数a的取值范围.

查看答案和解析>>

科目:高中数学 来源:2017届甘肃武威二中高三上学期月考一数学(理)试卷(解析版) 题型:解答题

已知函数上单调递减.

(1)若为假命题,求实数的取值范围;

(2)若为真命题,为假命题,求实数的取值范围.

查看答案和解析>>

同步练习册答案