精英家教网 > 高中数学 > 题目详情

.用合适的方法证明下面两个问题:

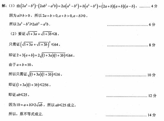
(1)设,求证:

(2)设,且,求证:

练习册系列答案
相关习题

科目:高中数学 来源: 题型:


计算的值为(  ).

A.               B.              C.-           D.-

查看答案和解析>>

科目:高中数学 来源: 题型:


已知点ABC的坐标分别为(0,1,0),(-1,0,-1),(2,1,1),点P的坐标是(x,0,y),

PA⊥平面ABC,则点P的坐标是________.

查看答案和解析>>

科目:高中数学 来源: 题型:


用反证法证明某命题时,对结论“自然数至少有1个偶数”的正确假设为“假设自然数都是      ”.

查看答案和解析>>

科目:高中数学 来源: 题型:


用数学归纳法证明,从

边需要乘的代数式为              

查看答案和解析>>

科目:高中数学 来源: 题型:


复数 (i 为虚数单位)是实数,则实数      

查看答案和解析>>

科目:高中数学 来源: 题型:


二项式的展开式中的系数为               .(用数字作答)

查看答案和解析>>

科目:高中数学 来源: 题型:


 六个人从左至右排成一行,最左端只能排甲或乙,最右端不能排甲,则不同的排法共有     种.

查看答案和解析>>

科目:高中数学 来源: 题型:


已知实数满足,则下列关系式恒成立的是(    )

A.     B.    C.    D.

查看答案和解析>>

同步练习册答案