精英家教网 > 高中数学 > 题目详情
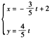
已知曲线C1:ρ=2sinθ,曲线C2(t为参数),
(Ⅰ)化C1为直角坐标方程,化C2为普通方程;
(Ⅱ)若M为曲线C2与x轴的交点,N为曲线C1上一动点,求|MN|的最大值.
解:(Ⅰ)曲线C1的极坐标方程可化为ρ2=2ρsinθ,
又x2+y22,x=ρcosθ,y=ρsinθ,
所以曲线C1的直角坐标方程为
因为曲线C2的参数方程是,消去参数t得,
曲线C2的普通方程4x+3y-8=0。 
(Ⅱ)因为曲线C2为直线y=-(x-2),
令y=0得x=2,即M点的坐标为(2,0);
又曲线C1为圆,其圆心坐标为C1(0,1),半径r=1,


所以,|MN|的最大值为
练习册系列答案
相关习题

科目:高中数学 来源: 题型:

在极坐标系中,极点为O,已知曲线C1:ρ=2与曲线C2ρsin(θ-
π
4
)=
2
,交于不同的两点A,B.
(1)求|AB|的值;
(2)求过点C(1,0)且与直线AB平行的直线l的极坐标方程.

查看答案和解析>>

科目:高中数学 来源: 题型:

(2013•揭阳一模)已知曲线C1:ρ=2和曲线C2ρcos(θ+
π
4
)=
2
,则C1上到C2的距离等于
2
的点的个数为
2
2

查看答案和解析>>

科目:高中数学 来源: 题型:

已知曲线C1
x=1+cosθ
y=sinθ
(θ为参数),曲线C2
x=2+t
y=-t
(t为参数),则C1与C2(  )
A、没有公共点
B、有一个公共点
C、有两个公共点
D、有两个以上的公共点

查看答案和解析>>

科目:高中数学 来源: 题型:填空题

已知曲线C1:ρ=2和曲线C2数学公式,则C1上到C2的距离等于数学公式的点的个数为________.

查看答案和解析>>

科目:高中数学 来源:2012-2013学年吉林省白山一中高二(下)期末数学试卷(理科)(解析版) 题型:解答题

在极坐标系中,极点为O,已知曲线C1:ρ=2与曲线C2,交于不同的两点A,B.
(1)求|AB|的值;
(2)求过点C(1,0)且与直线AB平行的直线l的极坐标方程.

查看答案和解析>>

同步练习册答案