精英家教网 > 高中数学 > 题目详情

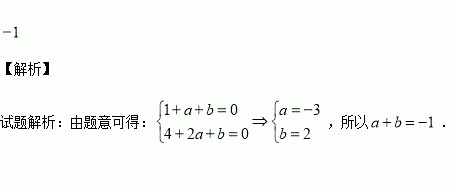
已知集合,,若A=B,则a+b=_______.

练习册系列答案
相关习题

科目:高中数学 来源:2015-2016学年黑龙江哈尔滨师大附中高二上期中理数学卷(解析版) 题型:填空题

满足约束条件,则的最大值为____________.

查看答案和解析>>

科目:高中数学 来源:2016届黑龙江省高三12月月考理科数学试卷(解析版) 题型:解答题

如图,多面体中,四边形是边长为的正方形,,且

(Ⅰ)求证:平面垂直于平面

(Ⅱ)若分别为棱的中点,求证:∥平面

(Ⅲ)求多面体的体积.

查看答案和解析>>

科目:高中数学 来源:2015-2016学年青海省高二期中考试数学试卷(解析版) 题型:解答题

解答下列问题:

(1)求平行于直线3x+4y2=0,且与它的距离是1的直线方程;

(2)求垂直于直线x+3y5=0,且与点P(1,0)的距离是的直线方程.

查看答案和解析>>

科目:高中数学 来源:2015-2016学年广西陆川县中学高一上学期周测九数学试卷(解析版) 题型:选择题

已知函数,若,则实数的取值范围是( )

A. B. C. D.

查看答案和解析>>

科目:高中数学 来源:2015-2016学年浙江省温州市高一上学期期中考试数学试卷(解析版) 题型:填空题

函数)的图象过定点,则点的坐标为 ;当幂函数过点时,的解析式为

查看答案和解析>>

科目:高中数学 来源:2015-2016学年江苏省沭阳县高二上学期期中考试数学试卷(解析版) 题型:填空题

图中的伪代码运行后输出的结果是

查看答案和解析>>

科目:高中数学 来源:2014-2015学年贵州省高二上学期半期考试理科数学试卷(解析版) 题型:填空题

是椭圆的不垂直于对称轴的弦,的中点,为坐标原点,则___________.

查看答案和解析>>

科目:高中数学 来源:2015-2016学年吉林省高二11月月考理科数学卷(解析版) 题型:选择题

如果实数,满足约束条件,则的最大值为( )

A. B. C. D.

查看答案和解析>>

同步练习册答案