精英家教网 > 高中数学 > 题目详情

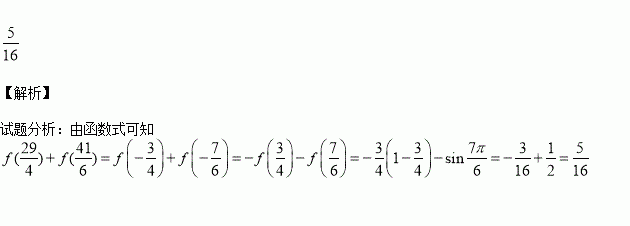
若函数是定义域为且周期为4的奇函数,它在上的解析式为_________.

练习册系列答案
相关习题

科目:高中数学 来源:2017届河南息县第一高级中学高三上阶段测三数学(文)试卷(解析版) 题型:填空题

已知,且,则向量的夹角为

查看答案和解析>>

科目:高中数学 来源:2017届河北衡水中学高三上学期一调考试数学(理)试卷(解析版) 题型:解答题

已知函数).

(1)若函数存在极大值和极小值,求的取值范围;

(2)设分别为的极大值和极小值,若存在实数,使得,求的取值范围.

查看答案和解析>>

科目:高中数学 来源:2017届河北衡水中学高三上学期一调考试数学(理)试卷(解析版) 题型:选择题

如图,网格纸上小正方形的边长为,粗线或虚线画出某几何体的三视图,该几何体的体积为( )

A. B. C. D.

查看答案和解析>>

科目:高中数学 来源:2015-2016学年辽宁瓦房店市高二下期末数学(文)试卷(解析版) 题型:解答题

椭圆的离心率为,以其四个顶点为顶点的四边形的面积等于

(1)求椭圆C的标准方程;

(2)过原点且斜率不为0的直线与椭圆C交于P,Q两点,A是椭圆C的右顶点,直线AP,AQ分别与y轴

交于点M,N,问:以MN为直径的圆是否恒过x轴上的定点?若恒过x轴上的定点,请求出该定点的坐标;

若不恒过轴上的定点,请说明理由.

查看答案和解析>>

科目:高中数学 来源:2015-2016学年辽宁瓦房店市高二下期末数学(文)试卷(解析版) 题型:选择题

若执行下面的程序框图,则输出的值是 ( )

A.7 B.6 C.5 D.4

查看答案和解析>>

科目:高中数学 来源:2015-2016学年辽宁瓦房店市高二下期末数学(文)试卷(解析版) 题型:选择题

式子的最小值为( )

A. B. C. D.

查看答案和解析>>

科目:高中数学 来源:2015-2016学年辽宁瓦房店市高二下期末数学(理)试卷(解析版) 题型:选择题

若执行下面的程序框图,则输出的值是 ( )

A.7 B.6 C.5 D. 4

查看答案和解析>>

科目:高中数学 来源:2015-2016学年辽宁省协作校高二下期末数学(理)试卷(解析版) 题型:解答题

的展开式中,第二、三、四项的二项式系数成等差数列.

(1)求的值;

(2)此展开式中是否有常数项,为什么?

查看答案和解析>>

同步练习册答案