精英家教网 > 高中数学 > 题目详情

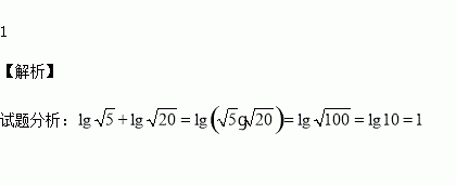
的值是_____ ______

练习册系列答案
相关习题

科目:高中数学 来源:2015-2016学年广东省普宁市高一上学期期中考试数学试卷(解析版) 题型:填空题

定义一种运算,令,且,则函数的最大值是

查看答案和解析>>

科目:高中数学 来源:2015-2016学年四川成都市六校高二上学期期中联考文科数学试卷(解析版) 题型:解答题

(本小题满分12分)已知以点C (t∈R,t≠0)为圆心的圆与x轴交于点O、A两点,与y轴交于点O,B,其中O为原点.

(1)求证:△AOB的面积为定值;

(2)设直线2x+y-4=0与圆C交于点M,N,若,求圆C的方程;

(3)在(2)的条件下,设P,Q分别是直线l:x+y+2=0和圆C上的动点,求的最小值及此时点P的坐标.

查看答案和解析>>

科目:高中数学 来源:2015-2016学年湖北省宜昌市高一上学期期中考试数学试卷(解析版) 题型:解答题

设函数f(x)=ax2+(b-8)x-a-ab的两个零点分别是-3和2.

(1)求f(x)的解析式;

(2)当函数f(x)的定义域是[0,1]时,求函数f(x)的值域.

查看答案和解析>>

科目:高中数学 来源:2015-2016学年河北省高一上学期第一次月考数学试卷(解析版) 题型:选择题

已知是定义在上的减函数,则的取值范围是( )

A. B. C. D.

查看答案和解析>>

科目:高中数学 来源:2015-2016学年福建厦门双十中学高二上期中文科数学试卷(解析版) 题型:填空题

若关于x的不等式,其解集中整数解恰好有3个,则实数a的取值范围是_

查看答案和解析>>

科目:高中数学 来源:2015-2016学年福建三明一中高二上第二次月考文数学卷(解析版) 题型:解答题

已知命题:方程表示焦点在轴上的椭圆;命题:实数使得不等式成立.

(1)若时,求命题中的椭圆的离心率;

(2)求命题是命题的什么条件.

查看答案和解析>>

科目:高中数学 来源:2016届河南省高三上第八次大考理科数学试卷(解析版) 题型:解答题

选修4-4:坐标系与参数方程选讲

已知在直角坐标系中,直线的参数方程为,(为参数),以坐标原点为极点,轴的正半轴为极轴建立极坐标系,曲线的极坐标方程为

(Ⅰ)求直线的普通方程和曲线的直角坐标方程;

(Ⅱ)设点是曲线上的一个动点,求它到直线的距离的取值范围.

查看答案和解析>>

科目:高中数学 来源:2015-2016学年云南省蒙自市高一10月月考数学试卷(解析版) 题型:填空题

集合{x|x1}用区间表示为

查看答案和解析>>

同步练习册答案