精英家教网 > 高中数学 > 题目详情

选修4-4:坐标系与参数方程选讲

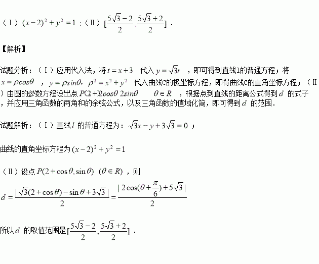
已知在直角坐标系中,直线的参数方程为,(为参数),以坐标原点为极点,轴的正半轴为极轴建立极坐标系,曲线的极坐标方程为

(Ⅰ)求直线的普通方程和曲线的直角坐标方程;

(Ⅱ)设点是曲线上的一个动点,求它到直线的距离的取值范围.

练习册系列答案
相关习题

科目:高中数学 来源:2015-2016学年浙江省平湖市高一10月月考数学试卷(解析版) 题型:选择题

下列判断正确的是( )

A. B. C. D.

查看答案和解析>>

科目:高中数学 来源:2015-2016学年广东省普宁市高一上学期期中考试数学试卷(解析版) 题型:填空题

的值是_____ ______

查看答案和解析>>

科目:高中数学 来源:2016届湖南省常德市高三上第五次月考文科数学试卷(解析版) 题型:解答题

已知函数为实数).

(1)当时,求函数处的切线方程;

(2)求在区间上的最小值;

(3)若存在两不等实根,使方程成立,求实数的取值范围.

查看答案和解析>>

科目:高中数学 来源:2016届湖南省常德市高三上第五次月考理科数学试卷(解析版) 题型:解答题

已知:在中,分别为角 所对的边,且角为锐角,

(I)求 的值;

(II)当 时,求的长.

查看答案和解析>>

科目:高中数学 来源:2015-2016学年湖南师大附中高二上学期第三次检测数学卷(解析版) 题型:解答题

已知函数,设

(1)证明:,且

(2)若对任意满足条件的恒成立,求实数的最大值.

查看答案和解析>>

科目:高中数学 来源:2016届湖南省长沙市高三上学期月考五文科数学试卷(解析版) 题型:解答题

近两年来,各大电视台都推出了由明星参与的游戏竞技类节目。高一某研究性学习小组在长沙某社区对50人进行第一时间收看该类节目与性别是否有关的收视调查,其中20名女性中有15名第一时间收看该类节目,30名男性中10名第一时间收看该类节目.

(1)根据以上数据建立一个列联表,并判断第一时间收看该类节目是否与性别有关?

(2)该研究性学习小组共有A、B、C、D和E五名同学,五人分成两组模拟“撕名牌”的游戏,其中一组三人,一组两人,求A、B两同学分在同一组的概率.

参考数据:

临界值表:

0.100

0.050

0.025

0.010

0.005

0.001

k

2.706

3.841

5.024

6.635

7.879

10.828

查看答案和解析>>

科目:高中数学 来源:2015-2016学年四川省雅安市高二11月月考文科数学试卷(解析版) 题型:填空题

过点并且在两轴上的截距相等的直线方程为

查看答案和解析>>

科目:高中数学 来源:2015-2016学年吉林省高一上学期期末数学试卷(解析版) 题型:解答题

求证:

查看答案和解析>>

同步练习册答案