精英家教网 > 高中数学 > 题目详情

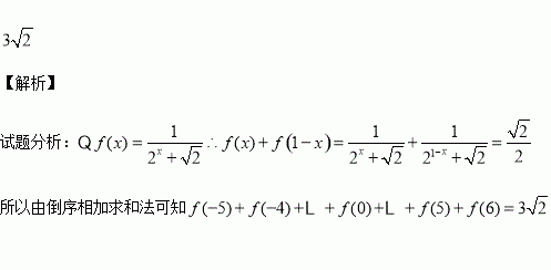
,利用课本中推导等差数列前 项和公式的方法,可求得 的值是

练习册系列答案
相关习题

科目:高中数学 来源:2015-2016学年山东省高二上学情调查文科数学卷(解析版) 题型:填空题

已知数列的通项公式是,则

查看答案和解析>>

科目:高中数学 来源:2015-2016学年湖北航天高中等校高二上学期期中联考数学试卷(解析版) 题型:选择题

以下赋值语句书写正确的是

A. B. C. D.

查看答案和解析>>

科目:高中数学 来源:2015-2016学年山东省高二上学期期中考试文科数学试卷(解析版) 题型:解答题

某批发站全年分批购入每台价值为3000 元的电脑共4000台,每批都购入台,且每批均需付运费360元,储存电脑全年所付保管费与每批购入电脑的总价值(不含运费)成正比,若每批购入400台,则全年需用去运费和保管费共43600元,现在全年只有24000元资金可以用于支付这笔费用(运费和保管费),请问能否恰当安排进货数量使资金够用?写出你的结论,并说明理由.

查看答案和解析>>

科目:高中数学 来源:2015-2016学年山东省高二上学期期中考试文科数学试卷(解析版) 题型:选择题

设数列的前项和,则的值为( )

A.15 B.16 C.49 D.64

查看答案和解析>>

科目:高中数学 来源:2015-2016学年湖北省等高二上学期期中联考文科数学试卷(解析版) 题型:解答题

已知△ABC的三个顶点,其外接圆为圆H.

(1)求圆H的方程;

(2)若直线l过点C,且被圆H截得的弦长为2,求直线l的方程;

(3)对于线段BH上的任意一点P,若在以C为圆心的圆上都存在不同的两点M、N,使得点M是线段PN的中点,求圆C的半径r的取值范围.

查看答案和解析>>

科目:高中数学 来源:2015-2016学年湖北省等高二上学期期中联考文科数学试卷(解析版) 题型:选择题

与圆关于直线对称的圆的方程为( )

A. B.

C.

D.

查看答案和解析>>

科目:高中数学 来源:2015-2016学年四川省德阳市高二上学期期中考试数学试卷(解析版) 题型:解答题

教育部、国家体育总局和共青团中央号召全国各级各类学校要广泛,深入地开展全国亿万大中学生阳光体育运动,为此,某校学生会对2014-2015学年高二年级2014年9月与10月这两个月内参加体育运动的情况进行统计,随机抽取了100名学生作为样本,得到这100名学生在该月参加体育运动总时间的小时数,根据此数据作出了如下的频率分布表和 频率分布直方图:

(1)求的值,并补全频率分布直方图;

(2)根据上述数据和直方图,试估计运动时间在[25,55]小时的学生体育运动的平均时间;

频率分布表

分组

运动时间(小时)

频数

频率

1

[25,30)

20

0.2

2

[30,35)

a

p

3

[35,40)

20

0.2

4

[40,45)

15

0.15

5

[45,50)

10

0.10

6

[50,55]

5

0.05

合计

100

1.00

查看答案和解析>>

科目:高中数学 来源:2015-2016学年山东省枣庄市高二10月学情调查数学试卷(解析版) 题型:选择题

中,角A、B、C所对的边长分别为 ,若成等比数列且,则等于( )

A. B. C. D.

查看答案和解析>>

同步练习册答案