精英家教网 > 高中数学 > 题目详情

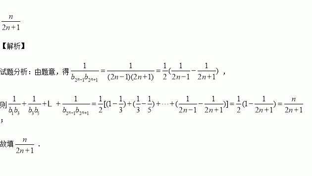
已知数列的通项公式是,则

练习册系列答案
相关习题

科目:高中数学 来源:2015-2016学年江西省高一上第二次段考数学试卷(解析版) 题型:选择题

化简的结果是( )

A.1 B. C.2 D.

查看答案和解析>>

科目:高中数学 来源:2016届安徽省高三上第五次月考文科数学试卷(解析版) 题型:填空题

直线与抛物线和圆,从左到右的交点依次为A、B、C、D,则线段的比值为

查看答案和解析>>

科目:高中数学 来源:2016届安徽省高三上第五次月考理科数学试卷(解析版) 题型:填空题

已知P是椭圆和双曲线的一个交点,是椭圆和双曲线的公共焦点,分别为椭圆和双曲线的离心率,,则的最大值为

查看答案和解析>>

科目:高中数学 来源:2015-2016学年湖南株洲二中高二上第三次月考文数学卷(解析版) 题型:选择题

函数)的图象可能为( )

查看答案和解析>>

科目:高中数学 来源:2015-2016学年山东省高二上学情调查理科数学卷(解析版) 题型:填空题

已知等比数列是递增数列,的前n项和,若是方程的两个根,则

查看答案和解析>>

科目:高中数学 来源:2015-2016学年四川省高二上期中理科数学试卷(解析版) 题型:选择题

已知点在不等式组表示的平面区域内运动,则的最大值是( )

A. B. C.2 D.3

查看答案和解析>>

科目:高中数学 来源:2015-2016学年湖南师大附中高二上第二次段测理科数学卷(解析版) 题型:选择题

在平面上,,若,则的取值范围是( )

A. B. C. D.

查看答案和解析>>

科目:高中数学 来源:2015-2016学年山东省高二上学期期中考试理科数学试卷(解析版) 题型:填空题

,利用课本中推导等差数列前 项和公式的方法,可求得 的值是

查看答案和解析>>

同步练习册答案