精英家教网 > 高中数学 > 题目详情

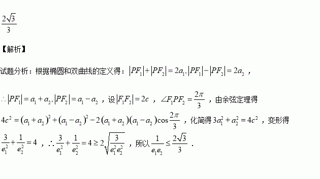
已知P是椭圆和双曲线的一个交点,是椭圆和双曲线的公共焦点,分别为椭圆和双曲线的离心率,,则的最大值为

练习册系列答案
相关习题

科目:高中数学 来源:2015-2016学年江西省高一上第二次段考数学试卷(解析版) 题型:解答题

某体育馆拟用运动场的边角地建一个矩形的健身室(如图所示),是一个标出为的正方形地皮,扇形是运动场的一部分,其半径为,矩形就是拟建的健身室,其中分别在上,上,设矩形的面积为.

(I)请将表示为的函数,并指出当点的何处时,该健身室的面积最大,最大面积是多少?

(II)由上面函数建立的思想,试求的最大值.

查看答案和解析>>

科目:高中数学 来源:2016届江苏省高三12月月考数学试卷(解析版) 题型:填空题

甲?乙两个样本数据的茎叶图(如图),则甲?乙两样本方差中较小的一个方差是

查看答案和解析>>

科目:高中数学 来源:2016届安徽省高三上第五次月考文科数学试卷(解析版) 题型:选择题

如图,设抛物线的焦点为F,不经过焦点的直线上有三个不同的点A,B,C,其中点A,B在抛物线上,点C在y轴上,则的面积之比是( )

A. B. C. D.

查看答案和解析>>

科目:高中数学 来源:2016届安徽省高三上第五次月考文科数学试卷(解析版) 题型:选择题

若抛物线的焦点与椭圆的右焦点重合,则P的值为( )

A.4 B.1 C.2 D.8

查看答案和解析>>

科目:高中数学 来源:2015-2016学年湖南株洲二中高二上第三次月考文数学卷(解析版) 题型:解答题

平面直角坐标系中,已知椭圆的离心率为,且点()在椭圆上.

(Ⅰ)求椭圆的方程;

(Ⅱ)设椭圆为椭圆上任意一点,过点的直线交椭圆两点,射线交椭圆于点

(i)求的值;

(ii)求面积的最大值.

查看答案和解析>>

科目:高中数学 来源:2015-2016学年山东省高二上学情调查文科数学卷(解析版) 题型:填空题

已知数列的通项公式是,则

查看答案和解析>>

科目:高中数学 来源:2016届河北省高三上学期期中考试文科数学试卷(解析版) 题型:选择题

的值为( )

A. B. C. D.

查看答案和解析>>

科目:高中数学 来源:2015-2016学年山东省高二上学期期中考试文科数学试卷(解析版) 题型:解答题

某批发站全年分批购入每台价值为3000 元的电脑共4000台,每批都购入台,且每批均需付运费360元,储存电脑全年所付保管费与每批购入电脑的总价值(不含运费)成正比,若每批购入400台,则全年需用去运费和保管费共43600元,现在全年只有24000元资金可以用于支付这笔费用(运费和保管费),请问能否恰当安排进货数量使资金够用?写出你的结论,并说明理由.

查看答案和解析>>

同步练习册答案