精英家教网 > 高中数学 > 题目详情

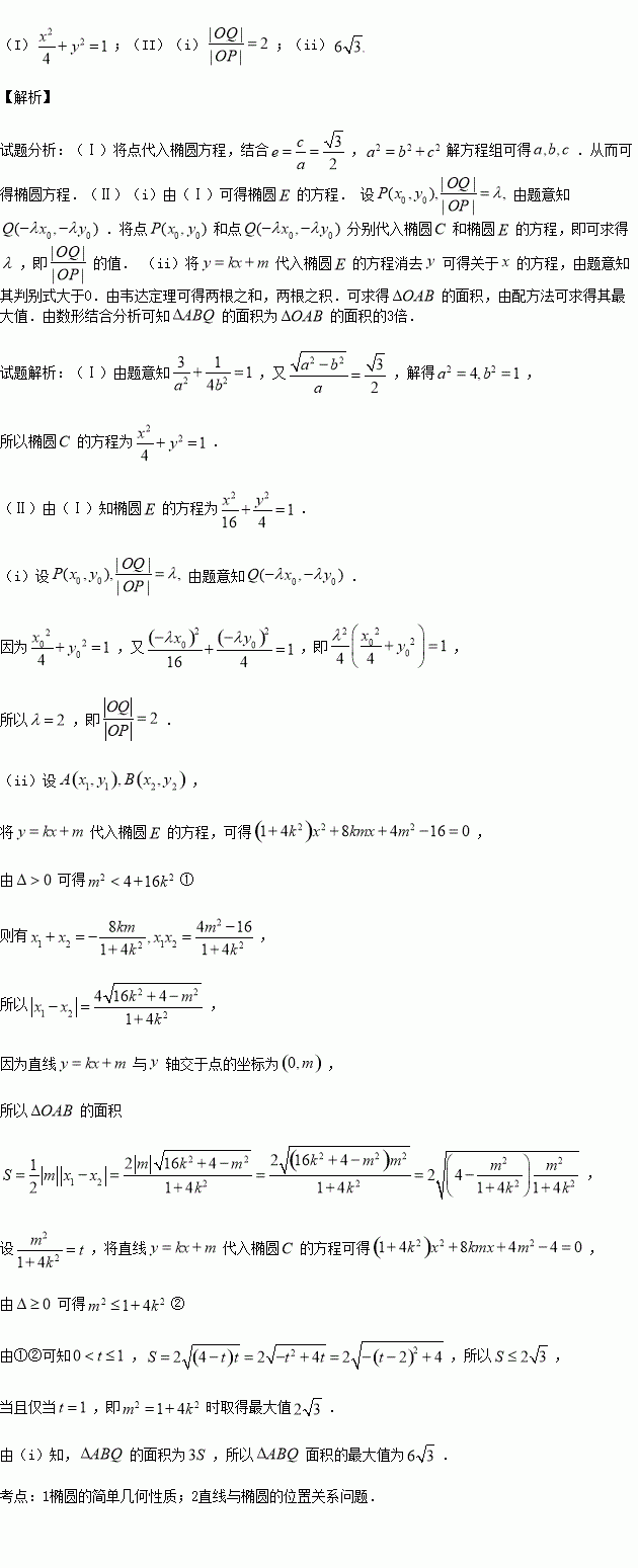
平面直角坐标系中,已知椭圆的离心率为,且点()在椭圆上.

(Ⅰ)求椭圆的方程;

(Ⅱ)设椭圆为椭圆上任意一点,过点的直线交椭圆两点,射线交椭圆于点

(i)求的值;

(ii)求面积的最大值.

练习册系列答案
相关习题

科目:高中数学 来源:2015-2016学年江西省高一上第二次段考数学试卷(解析版) 题型:解答题

已知.

(I)判断的奇偶性;

(II)求的值域.

查看答案和解析>>

科目:高中数学 来源:2016届安徽省高三上第五次月考文科数学试卷(解析版) 题型:解答题

已知抛物线C:,点在x轴的正半轴上,过点M的直线与抛物线C相交于A,B两点,O为坐标原点.

(1)若,且直线的斜率为1,求以AB为直径的圆的方程;

(2)是否存在定点M,使得不论直线绕点M如何转动,恒为定值?

查看答案和解析>>

科目:高中数学 来源:2016届安徽省高三上第五次月考文科数学试卷(解析版) 题型:选择题

设椭圆的离心率为,右焦点为,方程的两个实根分别为,则点( )

A.必在圆

B.必在圆

C.必在圆

D.以上三种情形都有可能

查看答案和解析>>

科目:高中数学 来源:2016届安徽省高三上第五次月考理科数学试卷(解析版) 题型:填空题

已知P是椭圆和双曲线的一个交点,是椭圆和双曲线的公共焦点,分别为椭圆和双曲线的离心率,,则的最大值为

查看答案和解析>>

科目:高中数学 来源:2015-2016学年山东省高二上学情调查文科数学卷(解析版) 题型:解答题

小王于年初用50万元购买一辆大货车,第一年因缴纳各种费用支出6万元,从第二年起,每年都比上一年增加支出2万元,假定该年每年的运输收入均为25万元,小王在该车运输累计收入超过总支出后,考虑将大货车作为二手车出售,若该车在第年年底出售,其销售价格为万元(国家规定大货车的报废年限为10年).

(1)大货车运输到第几年底,该车运输累计收入超过总支出?

(2)在第几年年底将大货车出售,能使小王获得的年平均利润最大?(利润=运输累计收入+销售收入-总支出)

查看答案和解析>>

科目:高中数学 来源:2015-2016学年山东省高二上学情调查理科数学卷(解析版) 题型:填空题

已知等比数列是递增数列,的前n项和,若是方程的两个根,则

查看答案和解析>>

科目:高中数学 来源:2016届河北省高三上学期期中考试理科数学试卷(解析版) 题型:选择题

为单位向量,若向量满足,则的最大值是( )

A. B.2 C. D.1

查看答案和解析>>

科目:高中数学 来源:2015-2016学年山东省高二上学期期中考试文科数学试卷(解析版) 题型:选择题

已知等比数列 中,,则该数列的公比 为( )

A.1 B. C.2 D.

查看答案和解析>>

同步练习册答案