精英家教网 > 高中数学 > 题目详情

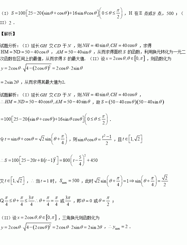
某体育馆拟用运动场的边角地建一个矩形的健身室(如图所示),是一个标出为的正方形地皮,扇形是运动场的一部分,其半径为,矩形就是拟建的健身室,其中分别在上,上,设矩形的面积为.

(I)请将表示为的函数,并指出当点的何处时,该健身室的面积最大,最大面积是多少?

(II)由上面函数建立的思想,试求的最大值.

练习册系列答案
相关习题

科目:高中数学 来源:2015-2016学年辽宁省葫芦岛市一中高一上第二次月考数学试卷(解析版) 题型:解答题

(2008秋•济南期末)计算下列各式:

(1)

(2)

查看答案和解析>>

科目:高中数学 来源:2015-2016学年福建省龙海市高二上学期期中文科数学试卷(解析版) 题型:选择题

如图给出的是计算的值的一个流程图,其中判断框内应填入的条件是

(A) (B) (C) (D)

查看答案和解析>>

科目:高中数学 来源:2015-2016学年内蒙古赤峰市高一9月月考数学试卷(解析版) 题型:选择题

下列各组表示同一函数的是( )

A.

B.

C.

D.

查看答案和解析>>

科目:高中数学 来源:2015-2016学年福建省宁德市高一上学期期中考试数学试卷(解析版) 题型:选择题

,则( )

A. B. C. D.

查看答案和解析>>

科目:高中数学 来源:2015-2016学年江西省高一上第二次段考数学试卷(解析版) 题型:解答题

已知.

(I)判断的奇偶性;

(II)求的值域.

查看答案和解析>>

科目:高中数学 来源:2015-2016学年江西省高一上第二次段考数学试卷(解析版) 题型:选择题

化简的结果是( )

A.1 B. C.2 D.

查看答案和解析>>

科目:高中数学 来源:2016届江苏省高三12月月考数学试卷(解析版) 题型:解答题

某油库的设计容量为30万吨,年初储量为10万吨,从年初起计划每月购

进石油万吨,以满足区域内和区域外的需求,若区域内每月用石油1万吨,区域外前个月的需求总量(万吨)与的函数关系为,若区域外前4个月的需求总量为20万吨.

(Ⅰ)试求出当第个月的石油调出后,油库内储油量(万吨)与的函数关系式;

(Ⅱ)要使16个月内每月按计划购进石油之后,油库总能满足区域内和区域外的需求,且每月石油调出后,油库的石油剩余量不超过油库的容量,试确定的取值范围.

查看答案和解析>>

科目:高中数学 来源:2016届安徽省高三上第五次月考理科数学试卷(解析版) 题型:填空题

已知P是椭圆和双曲线的一个交点,是椭圆和双曲线的公共焦点,分别为椭圆和双曲线的离心率,,则的最大值为

查看答案和解析>>

同步练习册答案