精英家教网 > 高中数学 > 题目详情

已知△ABC的三个顶点,其外接圆为圆H.

(1)求圆H的方程;

(2)若直线l过点C,且被圆H截得的弦长为2,求直线l的方程;

(3)对于线段BH上的任意一点P,若在以C为圆心的圆上都存在不同的两点M、N,使得点M是线段PN的中点,求圆C的半径r的取值范围.

练习册系列答案
相关习题

科目:高中数学 来源:2015-2016学年山东省高二上学情调查理科数学卷(解析版) 题型:填空题

已知等比数列是递增数列,的前n项和,若是方程的两个根,则

查看答案和解析>>

科目:高中数学 来源:2015-2016学年河北省邯郸市等校高二上学期期中理科数学试卷(解析版) 题型:解答题

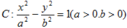
已知椭圆G:(a>b>0)的离心率为,右焦点为(,0).斜率为1的直线l与椭圆G交于A,B两点,以AB为底边作等腰三角形,顶点为P(-3,2).

(1)求椭圆G的方程;

(2)求△PAB的面积.

查看答案和解析>>

科目:高中数学 来源:2015-2016学年山东省高二上学期期中考试文科数学试卷(解析版) 题型:选择题

已知等比数列 中,,则该数列的公比 为( )

A.1 B. C.2 D.

查看答案和解析>>

科目:高中数学 来源:2015-2016学年山东省高二上学期期中考试理科数学试卷(解析版) 题型:填空题

,利用课本中推导等差数列前 项和公式的方法,可求得 的值是

查看答案和解析>>

科目:高中数学 来源:2015-2016学年湖北省等高二上学期期中联考文科数学试卷(解析版) 题型:选择题

甲、乙两人在5次体育测试中的成绩(成绩为整数,满分为100分)如下表,其中乙的第5次成绩的个位数被污损。

第1次

第2次

第3次

第4次

第5次

91

86

88

92

93

87

85

86

99

9

则乙的平均成绩高于甲的平均成绩的概率是( )

A. B. C. D.

查看答案和解析>>

科目:高中数学 来源:2015-2016学年浙江省温州市高二上学期期中考试数学试卷(解析版) 题型:填空题

在平面直角坐标系中,设是函数图象上的两点,且为正三角形,则的高为 .在正方体中,棱与棱所成的夹角是 ,异面直线所成的角是

查看答案和解析>>

科目:高中数学 来源:2015-2016学年四川省德阳市高二上学期期中考试数学试卷(解析版) 题型:选择题

如图,正方体的棱长为,动点在对角线上,过点作垂直于的平面,记这样得到的截面多边形(含三角形)的周长为,设,则当时,函数的值域为( )

A. B. C. D.

查看答案和解析>>

科目:高中数学 来源:2015-2016学年湖南株洲二中高二上第三次月考理数学卷(解析版) 题型:解答题

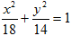
已知双曲线与椭圆有共同的焦点,点在双曲线上.

(1)求双曲线的方程;

(2)以为中点作双曲线的一条弦,求弦所在直线的方程.

查看答案和解析>>

同步练习册答案