精英家教网 > 高中数学 > 题目详情
已知函数f(x)=lnx-x,
(1)求h(x)的最大值;
(2)若关于x的不等式xf(x)≥-2x2+ax-12对一切x∈(0,+∞)恒成立,求实数a的取值范围;
(3)若关于x的方程f(x)-x3+2ex2-bx=0恰有一解,其中e是自然对数的底数,求实数b的值.
【答案】分析:(1)已知h(x)的解析式,对其进行求导,利用导数研究其单调性,从而求解;
(2)因为关于x的不等式xf(x)≥-2x2+ax-12对一切x∈(0,+∞)恒成立,将问题转化为xlnx-x2≥-2x2+ax-12对一切x∈(0,+∞)恒成立,利用常数分离法进行求解;
(3)关于x的方程f(x)-x3+2ex2-bx=0恰有一解,可得=x2-2ex+b+1恰有一解,构造新函数h(x)=利用导数研究h(x)的最大值,从而进行求解;
解答:解:(1)因为,所以,…(2分)
由h′(x)>0,且x>0,得0<x<e,由h′(x)<0,且x>0,x>e,…(4分)
所以函数h(x)的单调增区间是(0,e],单调减区间是[e,+∞),
所以当x=e时,h(x)取得最大值;…(6分)
(2)因为xf(x)≥-2x2+ax-12对一切x∈(0,+∞)恒成立,
即xlnx-x2≥-2x2+ax-12对一切x∈(0,+∞)恒成立,
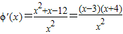
亦即对一切x∈(0,+∞)恒成立,…(8分)
,因为
故ϕ(x)在(0,3]上递减,在[3,+∞)上递增,ϕ(x)min=ϕ(3)=7+ln3,
所以a≤7+ln3.  …(10分)
(3)因为方程f(x)-x3+2ex2-bx=0恰有一解,
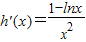
即lnx-x-x3+2ex2-bx=0恰有一解,即恰有一解,
由(1)知,h(x)在x=e时,,…(12分)
而函数k(x)=x2-2ex+b+1在(0,e]上单调递减,在[e,+∞)上单调递增,
故x=e时,k(x)min=b+1-e2
故方程=x2-2ex+b+1恰有一解当且仅当b+1-e2=
即b=e2+-1;
点评:本题考查利用导数求函数的单调区间的方法,求函数的导数以及对数函数的定义域与单调区间.注意函数的定义域,此题是一道中档题,考查学生计算能力;
练习册系列答案
相关习题

科目:高中数学 来源: 题型:

已知函数f(x)=2x-2+ae-x(a∈R)
(1)若曲线y=f(x)在点(1,f(1))处的切线平行于x轴,求a的值;
(2)当a=1时,若直线l:y=kx-2与曲线y=f(x)在(-∞,0)上有公共点,求k的取值范围.

查看答案和解析>>

科目:高中数学 来源: 题型:

已知函数f(x)=x2+2|lnx-1|.
(1)求函数y=f(x)的最小值;
(2)证明:对任意x∈[1,+∞),lnx≥
2(x-1)
x+1
恒成立;
(3)对于函数f(x)图象上的不同两点A(x1,y1),B(x2,y2)(x1<x2),如果在函数f(x)图象上存在点M(x0,y0)(其中x0∈(x1,x2))使得点M处的切线l∥AB,则称直线AB存在“伴侣切线”.特别地,当x0=
x1+x2
2
时,又称直线AB存在“中值伴侣切线”.试问:当x≥e时,对于函数f(x)图象上不同两点A、B,直线AB是否存在“中值伴侣切线”?证明你的结论.

查看答案和解析>>

科目:高中数学 来源: 题型:

已知函数f(x)=x2-bx的图象在点A(1,f(1))处的切线l与直线x+3y-1=0垂直,若数列{
1
f(n)
}的前n项和为Sn,则S2012的值为(  )

查看答案和解析>>

科目:高中数学 来源: 题型:

已知函数f(x)=xlnx
(Ⅰ)求函数f(x)的极值点;
(Ⅱ)若直线l过点(0,-1),并且与曲线y=f(x)相切,求直线l的方程.

查看答案和解析>>

科目:高中数学 来源: 题型:

已知函数f(x)=
3
x
a
+
3
(a-1)
x
,a≠0且a≠1.
(1)试就实数a的不同取值,写出该函数的单调增区间;
(2)已知当x>0时,函数在(0,
6
)上单调递减,在(
6
,+∞)上单调递增,求a的值并写出函数的解析式;
(3)记(2)中的函数图象为曲线C,试问是否存在经过原点的直线l,使得l为曲线C的对称轴?若存在,求出直线l的方程;若不存在,请说明理由.

查看答案和解析>>

同步练习册答案