精英家教网 > 高中数学 > 题目详情

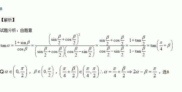
,则( )

A. B. C. D.

练习册系列答案
相关习题

科目:高中数学 来源:2015-2016学年广东省普宁市高二上期中考试理科数学试卷(解析版) 题型:解答题

(本小题满分12分)

命题p:实数x满足x2-4ax+3a2<0,其中a<0,命题q:实数x满足x2-x-6≤0,且q是p的必要不充分条件,求a的取值范围.

查看答案和解析>>

科目:高中数学 来源:2015-2016学年安徽省阜阳市高二上第一次调研考理科数学试卷(解析版) 题型:选择题

已知,若不等式恒成立,则的最大值等于 ( )

A.10 B.9 C.8 D.7

查看答案和解析>>

科目:高中数学 来源:2016届山东师大附中高三上学期二模理科数学试卷(解析版) 题型:选择题

若函数的最小值为,则实数a的取值范围( )

A. B. C. D.

查看答案和解析>>

科目:高中数学 来源:2016届黑龙江哈尔滨六中高三上期中文科数学试卷(解析版) 题型:选择题

执行下面的程序框图,若输出的结果是,则输入的为( )

A. B. C. D.

查看答案和解析>>

科目:高中数学 来源:2016届福建省高三第一次月考文科数学试卷(解析版) 题型:选择题

把函数图象上各点的横坐标伸长为原来的2倍(纵坐标不变,再将图象向右平移个单位,那么所得图象的一个对称中心为( )

A. B.

C. D.(0, 0)

查看答案和解析>>

科目:高中数学 来源:2016届福建省高三第一次月考理科数学试卷(解析版) 题型:选择题

非零向量使得成立的一个充分非必要条件是( )

A . B. C. D.

查看答案和解析>>

科目:高中数学 来源:2015-2016学年四川成都七中高二10月段考理科数学试卷(解析版) 题型:解答题

己知圆心为的圆经过点,且圆心在直线上,求圆心为的圆的标准方程.

查看答案和解析>>

科目:高中数学 来源:2014-2015学年浙江省嵊州市高二下期末检测理科数学B卷(解析版) 题型:解答题

(本小题满分15分)

已知抛物线的焦点为,过且斜率为的直线交抛物线

两点.

(Ⅰ)求抛物线的标准方程;

(Ⅱ)求的面积.

查看答案和解析>>

同步练习册答案