精英家教网 > 高中数学 > 题目详情

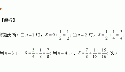
执行下面的程序框图,若输出的结果是,则输入的为( )

A. B. C. D.

练习册系列答案
相关习题

科目:高中数学 来源:2015-2016学年广东省英德市高一上学期第一次月考数学试卷(解析版) 题型:填空题

已知函数f(x)=x2-6x+8,x∈[1,a],并且f(x)的最小值为f(a),则实数a的取值范围是________

查看答案和解析>>

科目:高中数学 来源:2015-2016学年安徽省阜阳市高二上第一次调研考文科数学试卷(解析版) 题型:选择题

甲乙两人同时从A地出发B 地,甲在前一半路程用速度,在后一半路程用速度),乙在前一半时间用速度,在后一般时间用速度,则两人中谁先到达( )

A.甲 B.乙 C.两人同时 D.无法确定

查看答案和解析>>

科目:高中数学 来源:2016届山东师大附中高三上学期二模文科数学试卷(解析版) 题型:选择题

已知函数,则其导函数的图象大致是( )

查看答案和解析>>

科目:高中数学 来源:2016届山东师大附中高三上学期二模理科数学试卷(解析版) 题型:选择题

,则“的图象关于对称”是“”的( )

A.充分不必要条件 B.必要不充分条件

C.充要条件 D.既不充分又不必要条件

查看答案和解析>>

科目:高中数学 来源:2016届黑龙江哈尔滨六中高三上期中理科数学试卷(解析版) 题型:选择题

,则( )

A. B. C. D.

查看答案和解析>>

科目:高中数学 来源:2016届福建省高三第一次月考文科数学试卷(解析版) 题型:选择题

在锐角△ABC中,角A,B所对的边长分别为a,b,若2asin B=b,则角A等于( )

A. B. C. D.

查看答案和解析>>

科目:高中数学 来源:2015-2016学年四川成都七中高二10月段考文科数学试卷(解析版) 题型:解答题

己知圆心为的圆经过点,且圆心在直线上,求圆心为的圆的标准方程.

查看答案和解析>>

科目:高中数学 来源:2014-2015学年浙江省嵊州市高二下期末检测文科数学A卷(解析版) 题型:解答题

(本小题满分15分)

设数列满足

(Ⅰ)求

(Ⅱ)设,求证:数列最小.

查看答案和解析>>

同步练习册答案