精英家教网 > 高中数学 > 题目详情

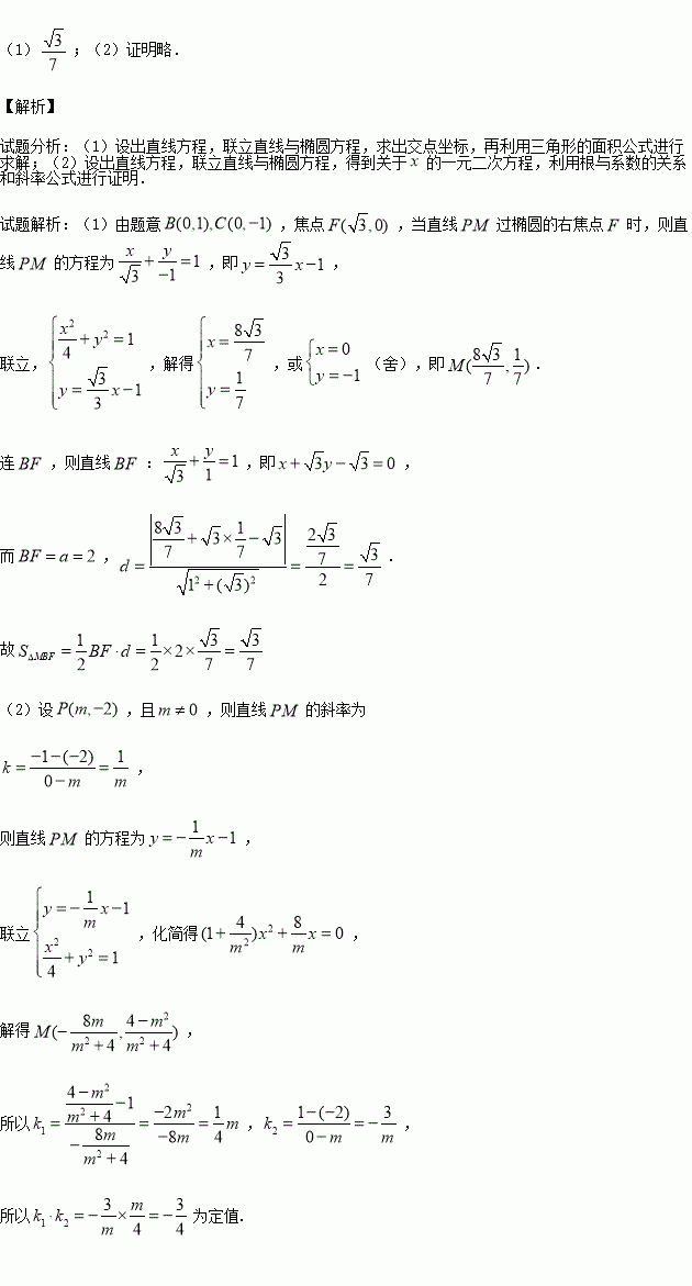
如图,已知椭圆的右焦点为,点分别是椭圆的上、下顶点,点是直线上的一个动点(与轴交点除外),直线交椭圆于另一点.

(1)当直线过椭圆的右焦点时,求的面积;

(2)记直线的斜率分别为,求证:为定值.

练习册系列答案
相关习题

科目:高中数学 来源:2015-2016学年西藏日喀则一中高二4月月考文数学卷(解析版) 题型:选择题

下面几种推理过程是演绎推理的是( )

A.两条直线平行,同旁内角互补,如果是两条平行直线的同旁内角,则.

B.由平面三角形的性质,推测空间四面体的性质.

C.三角形内角和是,四边形内角和是,五边形内角和是,由此得凸边形内角和是

D.在数列中,,由此归纳出的通项公式.

查看答案和解析>>

科目:高中数学 来源:2015-2016学年湖南长郡中学高二水平模拟理科数学卷(解析版) 题型:选择题

如图,直四棱柱的底面是菱形,则所成的角是( )

A. B. C. D.

查看答案和解析>>

科目:高中数学 来源:2015-2016学年湖南长郡中学高二下第一次检测文数学卷(解析版) 题型:选择题

若对任意恒成立,则的最小值是( )

A. B. C. D.

查看答案和解析>>

科目:高中数学 来源:2015-2016学年湖南长郡中学高二下第一次检测文数学卷(解析版) 题型:选择题

命题“”的否定是( )

A. B.

C. D.

查看答案和解析>>

科目:高中数学 来源:2015-2016学年湖南长郡中学高二下第一次检测理数学卷(解析版) 题型:填空题

已知双曲线的离心率为2,左、右焦点为,点上,若,则=__________.

查看答案和解析>>

科目:高中数学 来源:2015-2016学年湖南长郡中学高二下第一次检测理数学卷(解析版) 题型:选择题

已知上的连续可导函数,且,则函数的零点个数为( )

A.0 B.1 C.2 D.不能确定

查看答案和解析>>

科目:高中数学 来源:2015-2016学年湖南师大附中高二下期中文科数学试卷(解析版) 题型:解答题

如图,在棱长为1的正方体中.

(1)求证:平面

(2)求三棱锥的体积.

查看答案和解析>>

科目:高中数学 来源:2016届安徽省淮南市高三下学期二模文科数学试卷(解析版) 题型:解答题

已知在中,,以为直径的圆,过点作圆的切线交,求证:

(1)

(2).

查看答案和解析>>

同步练习册答案