精英家教网 > 高中数学 > 题目详情
设函数f(x)=ax-,曲线y=f(x)在点(2,f(2))处的切线方程为7x-4y-12=0。
(1)求y=f(x)的解析式;
(2)证明:曲线y=f(x)上任一点处的切线与直线x=0和直线y=x所围成的三角形面积为定值,并求此定值。
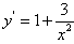
解:(1)方程7x-4y-12=0可化为
当x=2时,

于是

(2)设为曲线上任一点,
知曲线在点处的切线方程为

令x=0,得
从而得切线与直线x=0的交点坐标为
令y=x,得
从而得切线与直线y=x的交点坐标为
所以点处的切线与直线x=0,y=x所围成的三角形面积为
故曲线y=f(x)上任一点处的切线与直线x=0,y=x所围成的三角形面积为定值,此定值为6。
练习册系列答案
相关习题

科目:高中数学 来源: 题型:

设函数f(x)=ax+
xx-1
(x>1),若a是从1,2,3三个数中任取一个数,b是从2,3,4,5四个数中任取一个数,求f(x)>b恒成立的概率.

查看答案和解析>>

科目:高中数学 来源: 题型:

设函数f(x)=ax+b的图象经过点(1,7),又其反函数的图象经过点(4,0),求函数的解析式,并求f(-2)、f(
12
)的值.

查看答案和解析>>

科目:高中数学 来源: 题型:

设函数f(x)=ax+bx-cx,其中a,b,c是△ABC的三条边,且c>a,c>b,则“△ABC为钝角三角形”是“?x∈(1,2),使f(x)=0”(  )

查看答案和解析>>

科目:高中数学 来源: 题型:

(2009•杨浦区一模)(文)设函数f(x)=ax+1-2(a>1)的反函数为y=f-1(x),则f-1(-1)=
-1
-1

查看答案和解析>>

科目:高中数学 来源: 题型:

精英家教网设函数f(x)=(a
x
-
1
x
)n
,其中n=3
π
sin(π+x)dx,a为如图所示的程序框图中输出的结果,则f(x)的展开式中常数项是(  )
A、-
5
2
B、-160
C、160
D、20

查看答案和解析>>

同步练习册答案