精英家教网 > 高中数学 > 题目详情

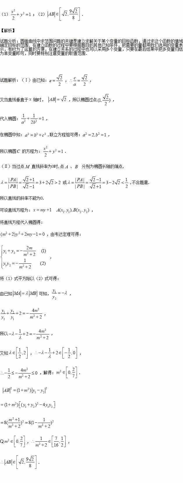
已知椭圆的离心率为,过点的直线交椭圆C与A,B两点,且当直线垂直于轴时,.

(Ⅰ)求椭圆C的方程;

(Ⅱ)若,求弦长的取值范围.

练习册系列答案
相关习题

科目:高中数学 来源:2016届河南省郑州市高三第二次模拟考试文科数学试卷(解析版) 题型:解答题

为了解人们对于国家新颁布的“生育二胎放开”政策的热度,现在某市进行调查,随机抽调了50人,他们年龄的频数分布及支持“生育二胎”人数如下表:

(Ⅰ)由以上统计数据填下面2乘2列联表,并问是否有99%的把握认为以45岁为分界点对“生育二胎放开”政策的支持度有差异;

(Ⅱ)若对年龄在[5,15)的被调查人中各随机选取两人进行调查,恰好这两人都支持“生育二胎放开”的概率是多少?

参考数据:

查看答案和解析>>

科目:高中数学 来源:2016届河南省郑州市高三第二次模拟考试理科数学试卷(解析版) 题型:选择题

已知集合,则( )

A. B. C. D.

查看答案和解析>>

科目:高中数学 来源:2016届河南省南阳、周口、驻马店等六市高三第一次联考理科数学试卷(解析版) 题型:选择题

运行如图所示的程序,若结束时输出的结果不小于3,则的取值范围为( )

A. B. C. D.

查看答案和解析>>

科目:高中数学 来源:2016届河南省南阳、周口、驻马店等六市高三第一次联考理科数学试卷(解析版) 题型:选择题

已知集合,且有4个子集,则实数的取值范围是( )

A. B. C. D.

查看答案和解析>>

科目:高中数学 来源:2016届河北省石家庄市高三复习教学质量检测二文科数学试卷(解析版) 题型:填空题

在球O的内接四面体中,且四面体体积的最大值为200,则球O的半径为 .

查看答案和解析>>

科目:高中数学 来源:2016届河北省石家庄市高三复习教学质量检测二文科数学试卷(解析版) 题型:选择题

,且函数处有极值,若,则t的最大值为( )

A. 2 B. 3 C. 6 D. 9

查看答案和解析>>

科目:高中数学 来源:2016届河北省石家庄市高三复习教学质量检测二理科数学试卷(解析版) 题型:填空题

已知向量a,b,c,满足|a|=,|b|=a·b=3,若(c-2a)·(2b-3c)=0,则|b-c|的最大值是____;

查看答案和解析>>

科目:高中数学 来源:2016年甘肃省兰州市高三实战考试理科数学试卷(解析版) 题型:解答题

选修4-1:几何证明选讲

如图,切圆于点,直线交圆两点,,垂足为.

(1)证明:

(2)若,求圆的直径.

查看答案和解析>>

同步练习册答案