精英家教网 > 高中数学 > 题目详情

若抛物线上一点到其准线的距离为4,则抛物线的标准方程为(    )

A.    B.    C.    D.

 

【答案】

C

【解析】

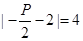
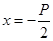
试题分析:∵抛物线,∴准线为,∵点到其准线的距离为4,∴

,∴抛物线的标准方程为.

考点:1.抛物线的标准方程;2.抛物线的准线方程;3.点到直线的距离.

 

练习册系列答案
相关习题

科目:高中数学 来源:2013-2014学年河北省石家庄高三上学期调研考试理科数学试卷(解析版) 题型:选择题

若抛物线上一点到其准线的距离为4,则抛物线的标准方程为(    )

A.    B.    C.    D.

 

查看答案和解析>>

科目:高中数学 来源:2015届江苏省江都市高一下学期期中考试数学试卷(解析版) 题型:解答题

已知抛物线()上一点到其准线的距离为.

(Ⅰ)求的值;

(Ⅱ)设抛物线上动点的横坐标为),过点的直线交于另一点,交轴于点(直线的斜率记作).过点的垂线交于另一点.若恰好是的切线,问是否为定值?若是,求出该定值;若不是,说明理由.

 

查看答案和解析>>

科目:高中数学 来源:2012-2013学年山东省德州市高三12月月考理科数学试卷(解析版) 题型:选择题

若抛物线上一点到其焦点的距离为,则点的坐标为(    )

A.       B.       C.      D.

 

查看答案和解析>>

科目:高中数学 来源:2013届湖北省高二上学期期末考试理科数学 题型:解答题

(本小题满分13分)

已知抛物线()上一点到其准线的距离为.

(Ⅰ)求的值;

(Ⅱ)设抛物线上动点的横坐标为),过点的直线交于另一点,交轴于点(直线的斜率记作).过点的垂线交于另一点.恰好是的切线,问是否为定值?若是,求出该定值;若不是,说明理由.

 

 

 

查看答案和解析>>

同步练习册答案