精英家教网 > 高中数学 > 题目详情
已知等差数列{an}中,a2=3,a4+a6=18.
(Ⅰ)求数列{an}的通项公式;
(Ⅱ)若数列{bn}满足:bn+1=2bn,并且b1=a5,试求数列{bn}的前n项和Sn
【答案】分析:(I)设数列{an}的公差为d,根据题意得:,解方程可求a1及d,从而可求通项
(II))由bn+1=2bn,可得{bn}是公比为2的等比数列,结合已知求出首项后,代入等比数列的求和公式即可求解
解答:解:(I)设数列{an}的公差为d,根据题意得:
解得:
∴通项公式为an=2n-1
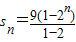
(II))∵bn+1=2bn,b1=a5=9
∴{bn}是首项为9公比为2的等比数列
=9×2n-9
点评:本题主要考查了等差数列的通项公式及等比数列的通项公式、求和公式的简单应用,属于基础试题
练习册系列答案
相关习题

科目:高中数学 来源: 题型:

已知等差数列{an},公差d不为零,a1=1,且a2,a5,a14成等比数列;
(1)求数列{an}的通项公式;
(2)设数列{bn}满足bn=an3n-1,求数列{bn}的前n项和Sn

查看答案和解析>>

科目:高中数学 来源: 题型:

已知等差数列{an}中:a3+a5+a7=9,则a5=
 

查看答案和解析>>

科目:高中数学 来源: 题型:

已知等差数列{an}满足:a5=11,a2+a6=18.
(1)求{an}的通项公式;
(2)若bn=an+q an(q>0),求数列{bn}的前n项和Sn

查看答案和解析>>

科目:高中数学 来源: 题型:

已知等差数列{an}满足a2=0,a6+a8=-10
(1)求数列{an}的通项公式;     
(2)求数列{|an|}的前n项和;
(3)求数列{
an2n-1
}的前n项和.

查看答案和解析>>

科目:高中数学 来源: 题型:

精英家教网已知等差数列{an}中,a4a6=-4,a2+a8=0,n∈N*
(Ⅰ)求数列{an}的通项公式;
(Ⅱ)若{an}为递增数列,请根据如图的程序框图,求输出框中S的值(要求写出解答过程).

查看答案和解析>>

同步练习册答案