精英家教网 > 高中数学 > 题目详情

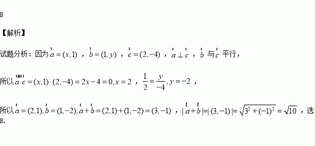
,向量,且平行,则( )

A. B. C. D.10

练习册系列答案
相关习题

科目:高中数学 来源:2015-2016学年江西省赣州市十三县高二下学期期中理科数学试卷(解析版) 题型:选择题

四棱柱ABCD—A1B1C1D1的三视图如右图所示.则异面直线D1C与 A C1所成的角为( )

A. 30° B. 45° C. 60° D. 90°

查看答案和解析>>

科目:高中数学 来源:2015-2016学年四川省雅安市高一下学期期中理科数学试卷(解析版) 题型:选择题

设0≤θ≤2π,向量=(cos θ,sin θ),=(2+sin θ,2-cos θ),则向量的模长的最大值为( )

A. B. C. D.

查看答案和解析>>

科目:高中数学 来源:2015-2016学年贵州遵义一中高一下第二次联考数学试卷(解析版) 题型:解答题

设等比数列的前项和为,已知.

(1)求数列的通项公式;

(2)求该数列的前项和为.

查看答案和解析>>

科目:高中数学 来源:2015-2016学年贵州遵义一中高一下第二次联考数学试卷(解析版) 题型:选择题

的图象的交点为,则所在的区间是( )

A. B. C. D.

查看答案和解析>>

科目:高中数学 来源:2016届山西省榆林市高三二模理科数学试卷(解析版) 题型:解答题

选修4-5:不等式选讲

已知,不等式的解集为.

(1)求集合;(2)当时,证明:.

查看答案和解析>>

科目:高中数学 来源:2016届山西省榆林市高三二模理科数学试卷(解析版) 题型:解答题

如图,已知平面上直线分别是上的动点,之间的一定点,的距离的距离三内角所对边分别为,且.

(1)判断的形状;

(2)记,求的最大值.

查看答案和解析>>

科目:高中数学 来源:2016届吉林省高三五模文科数学试卷(解析版) 题型:解答题

设函数

(1)求不等式的解集;

(2)对任意实数,不等式成立,求实数的取值范围

查看答案和解析>>

科目:高中数学 来源:2016届吉林省高三五模理科数学试卷(解析版) 题型:选择题

函数的部分图像如图所示,则( )

A. B. C. D.

查看答案和解析>>

同步练习册答案