精英家教网 > 高中数学 > 题目详情

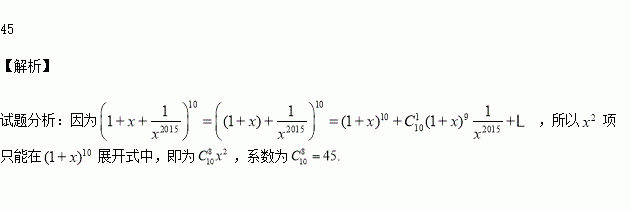
的展开式中,项的系数为 (结果用数值表示).

练习册系列答案
相关习题

科目:高中数学 来源:2016届贵州省贵阳市高三上学期第三次月考文科数学试卷(解析版) 题型:解答题

(本小题满分10分)【选修4-5:不等式选讲】

设函数).

(Ⅰ)证明:

(Ⅱ)若,求的取值范围.

查看答案和解析>>

科目:高中数学 来源:2015-2016学年吉林实验中学高二上学期期中文科数学试卷(解析版) 题型:选择题

关于直线对称的圆的方程是

A. B.

C. D.

查看答案和解析>>

科目:高中数学 来源:2016届江西省南昌市高三上第四次考试理科数学试卷(解析版) 题型:选择题

下列命题中正确的是( )

A.若为真命题,则为真命题

B.“”是“”的充分必要条件

C.命题“若,则”的逆否命题为“若,则

D.命题,使得,则,使得

查看答案和解析>>

科目:高中数学 来源:2016届湖南省长沙市高三月考三理科数学试卷(解析版) 题型:解答题

选修4-1:几何证明选讲

如图直径,切线,于点

(1)若D为中点,求证:切线;

(2)若,求的大小.

查看答案和解析>>

科目:高中数学 来源:2016届黑龙江省高三12月月考文科数学试卷(解析版) 题型:解答题

已知椭圆

(Ⅰ)求椭圆的离心率;

(Ⅱ)设直线与椭圆交于不同两点,若点满足,求实数的值.

查看答案和解析>>

科目:高中数学 来源:2016届北京市海淀区高三上学期期中考试文科数学试卷(解析版) 题型:填空题

若等差数列满足,则= ______.

查看答案和解析>>

科目:高中数学 来源:2016届浙江省嘉兴市高三上学期能力测试理科数学试卷(解析版) 题型:填空题

若集合,则_______,_______.

查看答案和解析>>

科目:高中数学 来源:2015-2016学年浙江省温州市高一上学期期中考试数学试卷(解析版) 题型:选择题

已知函数( )

A. B、0 C、1 D、2

查看答案和解析>>

同步练习册答案