精英家教网 > 高中数学 > 题目详情

( )

A. 0 B. C. D. 1

练习册系列答案
相关习题

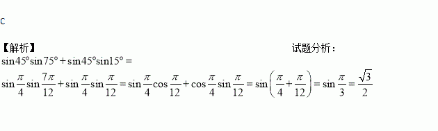
科目:高中数学 来源:2017届湖南益阳市高三9月调研数学(文)试卷(解析版) 题型:选择题

,则( )

A. B. C. D.

查看答案和解析>>

科目:高中数学 来源:2017届湖北武汉市高三上学期起点考试数学(文)试卷(解析版) 题型:选择题

已知双曲线)的上焦点为),是双曲线下支上的一点,线段与圆相切于点,且,则双曲线的渐进线方程为( )

A. B. C. D.

查看答案和解析>>

科目:高中数学 来源:2017届江西南昌市高三上学期摸底调研数学(文)试卷(解析版) 题型:解答题

某校高一年级学生身体素质体能测试的成绩(百分制)分布在内,同时为了了解学生爱好数学的情况,从中随机抽取了名学生,这名学生体能测试成绩的频率分布直方图如图所示,各分数段的“爱好数学”的人数情况如表所示.

(1)求的值;

(2)用分层抽样的方法,从体能成绩在的“爱好数学”学生中随机抽取6人参加某项活动,现从6人中随机选取2人担任领队,求两名领队中恰有1人体能成绩在的概率.

查看答案和解析>>

科目:高中数学 来源:2017届江西南昌市高三上学期摸底调研数学(文)试卷(解析版) 题型:选择题

正四面体中,分别是的中点,下面四个结论中不成立的是( )

A.平面 B.平面平面

C.平面 D.平面平面

查看答案和解析>>

科目:高中数学 来源:2017届江西南昌市高三上学期摸底调研数学(文)试卷(解析版) 题型:选择题

已知复数(其中是虚数单位),那么的共轭复数是( )

A. B. C. D.

查看答案和解析>>

科目:高中数学 来源:2017届江西南昌市高三上学期摸底调研数学(理)试卷(解析版) 题型:解答题

某校高一年级学生身体素质体能测试的成绩(百分制)分布在内,同时为了了解学生爱好数学的情况,从中随机抽取了名学生,这名学生体能测试成绩的频率分布直方图如图所示,各分数段的“爱好数学”的人数情况如表所示.

(1)求的值;

(2)用分层抽样的方法,从体能成绩在的“爱好数学”学生中随机抽取6人参加某项活动,现从6人中随机选取2人担任领队,记体能成绩在内领队人数为人,求的分布列及数学期望.

查看答案和解析>>

科目:高中数学 来源:2017届江西南昌市高三上学期摸底调研数学(理)试卷(解析版) 题型:选择题

已知复数(其中是虚数单位),那么的共轭复数是( )

A. B. C. D.

查看答案和解析>>

科目:高中数学 来源:2017届广西陆川县中学高三8月月考数学(理)试卷(解析版) 题型:选择题

若集合,集合,则“”是“”的( )

A.充分不必要条件 B.必要不充分条件

C.充要条件 D.既不充分也不必要条件

查看答案和解析>>

同步练习册答案