精英家教网 > 高中数学 > 题目详情

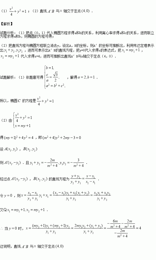
(本小题满分12分)如图,椭圆)经过点,离心率

(1)求椭圆的方程;

(2)设直线与椭圆交于两点,点关于轴的对称点为不重合),则直线轴是否交于一个定点?若是,请写出定点坐标,并证明你的结论;若不是,请说明理由.

练习册系列答案
相关习题

科目:高中数学 来源:2015-2016学年辽宁省大连市高二上期中理科数学试卷(解析版) 题型:选择题

已知命题椭圆离心率越大,椭圆越扁;命题双曲线上一点到左焦点距离为,则到右焦点距离为. 则下列命题中为真命题的是

(A) (B)

(C) (D)

查看答案和解析>>

科目:高中数学 来源:2015-2016学年河北省邢台市高二上第一次月考数学试卷(解析版) 题型:选择题

如图所示的直观图中,,则其平面图形的面积是( )

A.4 B. C. D.8

查看答案和解析>>

科目:高中数学 来源:2016届重庆市高三上学期第三次月考文科数学试卷(解析版) 题型:选择题

,且,则( )

A. B. C. D.

查看答案和解析>>

科目:高中数学 来源:2016届云南省玉溪市高三上学期期中文科数学试卷(解析版) 题型:解答题

(本小题满分12分)如图所示,在三棱柱ABC-A1B1C1中,AC⊥BC,AB⊥BB1,AC=BC=BB1=2,D为AB的中点,且CD⊥DA1.

(1)求证:BB1⊥平面ABC;

(2)求三棱锥B1-A1DC的体积.

查看答案和解析>>

科目:高中数学 来源:2016届云南省玉溪市高三上学期期中理科数学试卷(解析版) 题型:选择题

若复数满足,则的共轭复数是 ( )

A. B. C. D.

查看答案和解析>>

科目:高中数学 来源:2016届辽宁省葫芦岛市高三上学期期中理科数学试卷(解析版) 题型:填空题

某几何体的三视图如右图,则此几何体的体积为

查看答案和解析>>

科目:高中数学 来源:2016届黑龙江省牡丹江市高三上学期期中理科数学试卷(解析版) 题型:填空题

如图,是圆的直径,是圆上的点,,则的值为

查看答案和解析>>

科目:高中数学 来源:2015-2016学年吉林实验中学高二上学期期中理科数学试卷(解析版) 题型:选择题

已知椭圆的左、右焦点分别为,椭圆上点满足.若点是椭圆上的动点,则的最大值为

(A) (B) (C) (D)

查看答案和解析>>

同步练习册答案