精英家教网 > 高中数学 > 题目详情
设椭圆(a>b>0)的左焦点为F1(-2,0),左准线L1与x轴交于点N(-3,0),过点N且倾斜角为30°的直线L交椭圆于A、B两点;
(1)求直线L和椭圆的方程;
(2)求证:点F1(-2,0)在以线段AB为直径的圆上
【答案】分析:(1)根据题意可求得椭圆的c,进而根据准线方程求得a,则b可求得.则椭圆方程可得,进而根据点斜式求得直线L的方程.
(2)把直线与椭圆方程联立,消去y,设出A,B的坐标,则可求得x1+x2=-3x1x2,进而分别表示出F1A和AF1B斜率,进而求得的值.
解答:解:(1)由题意知,c=2及得a=6
∴b2=6-22=2
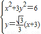
∴椭圆方程为
直线L的方程为:y-0=tan30(x+3)即y=(x+3)
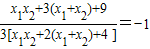
(2)由方程组得2x2+6x+3=0
设A(x1,y1),B(x2,y2),
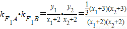
则x1+x2=-3x1x2=
=
∴F1A⊥F1B则∠AF1B=90°
∴点F(-2,0)在以线段AB为直径的圆上
点评:本题主要考查了直线与圆锥曲线的综合问题.考查了学生综合分析问题和解决问题的能力.
练习册系列答案
相关习题

科目:高中数学 来源: 题型:

在直角坐标系xOy中,设椭圆C:(ab>0)的左、右两个焦点分别为F1F2.过右焦点F2且与x轴垂直的直线l与椭圆C相交,其中一个交点为M(,1).

(1)求椭圆C的方程;

(2)设椭圆C的一个顶点为B(0,-b),直线BF2交椭圆C于另一点N,求△F1BN的面积.

查看答案和解析>>

科目:高中数学 来源:2013-2014学年人教版高考数学文科二轮专题复习提分训练22练习卷(解析版) 题型:解答题

设椭圆+=1(a>b>0)的左,右焦点分别为F1,F2,P(a,b)满足|PF2|=|F1F2|.

(1)求椭圆的离心率e;

(2)设直线PF2与椭圆相交于A,B两点.若直线PF2与圆(x+1)2+(y-)2=16相交于M,N两点,|MN|=|AB|,求椭圆的方程.

 

查看答案和解析>>

科目:高中数学 来源:2013-2014学年人教版高考数学文科二轮专题复习提分训练22练习卷(解析版) 题型:解答题

设椭圆+=1(a>b>0)的左焦点为F,离心率为,过点F且与x轴垂直的直线被椭圆截得的线段长为.

(1)求椭圆的方程;

(2)A,B分别为椭圆的左、右顶点,过点F且斜率为k的直线与椭圆交于C,D两点.·+·=8,k的值.

 

查看答案和解析>>

科目:高中数学 来源:2011-2012学年四川省高三高考极限压轴文科数学试卷(解析版) 题型:解答题

设椭圆C:(“a>b〉0)的左焦点为,椭圆过点P()

(1)求椭圆C的方程;

(2)已知点D(1, 0),直线l:与椭圆C交于A、B两点,以DA和DB为邻边的四边形是菱形,求k的取值范围.

 

查看答案和解析>>

科目:高中数学 来源:2012届湖北省黄石市高二数学上学期期末考试 题型:解答题

设椭圆+=1(a>b>0)的左焦点为F1(-2,0),左准线l1与x轴交于点N(-3,0),过点N且倾斜角为30°的直线l交椭圆于A、B两点.

(1)求直线l和椭圆的方程;

(2)求证:点F1(-2,0)在以线段AB为直径的圆上.

 

查看答案和解析>>

同步练习册答案