精英家教网 > 高中数学 > 题目详情

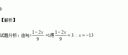
若㏒3=1,则x的值为( )

A.4 B.-4 C.13 D.-13

练习册系列答案
相关习题

科目:高中数学 来源:2016届河北省高三上学期期中数学试卷(解析版) 题型:填空题

等差数列的前项和为,已知,且,则=__________.

查看答案和解析>>

科目:高中数学 来源:2015-2016学年江西省吉安市高二上期中文科数学试卷(解析版) 题型:填空题

若圆锥的侧面积为,底面面积为,则该圆锥的体积为

查看答案和解析>>

科目:高中数学 来源:2015-2016学年安徽省合肥市高一上学期期中数学试卷(解析版) 题型:选择题

若函数为常数),在上有最小值4,则函数上有( )

A.最大值4 B.最小值 C.最大值2 D.最小值

查看答案和解析>>

科目:高中数学 来源:2015-2016学年广西省钦州市钦南区高二上学期期中考试理科数学试卷(解析版) 题型:选择题

下列函数中,为奇函数的是

A. B.

C. D.

查看答案和解析>>

科目:高中数学 来源:2015-2016学年广东省普宁市华美实验学校高一上学期期中数学试卷(解析版) 题型:选择题

若函数上是增函数,则下列关系式中成立的是( )

A.

B.

C.

D.

查看答案和解析>>

科目:高中数学 来源:2016届北京市朝阳区高三上学期期中统一考试理科数学试卷(解析版) 题型:解答题

已知函数

(Ⅰ)当时,求函数的单调区间;

(Ⅱ)当时,证明

查看答案和解析>>

科目:高中数学 来源:2016届浙江省绍兴市高三上学期期中文科数学试卷(解析版) 题型:解答题

中,分别为内角的对边,且

(1)求

(2)若,求

查看答案和解析>>

科目:高中数学 来源:2016届湖南省高三上第三次月考文数学卷(解析版) 题型:选择题

某工厂生产A、B、C三种不同型号的产品,产品的数量之比依次为3∶4∶7,现在用分层抽样

的方法抽出容量为n的样本,样本中A型号产品有15件,那么样本容量为( )

A.50 B.60 C.70 D.80

查看答案和解析>>

同步练习册答案