精英家教网 > 高中数学 > 题目详情

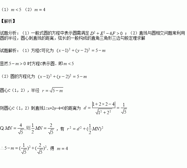
(本小题满分12分)已知关于x,y的方程C:

(1)当m为何值时,方程C表示圆.

(2)若圆C与直线l: x+2y-4=0相交于M,N两点,且MN=,求m的值.

练习册系列答案
相关习题

科目:高中数学 来源:2015-2016学年江苏省泰兴市高二上学期期中考试数学试卷(解析版) 题型:解答题

(本小题满分14分)已知命题:实数满足:方程)表示双曲线;命题:实数满足方程表示焦点在轴上的椭圆,且的必要不充分条件,求实数的取值范围。

查看答案和解析>>

科目:高中数学 来源:2014-2015学年浙江省等三校高二上学期期中考试数学试卷(解析版) 题型:填空题

若△ABC满足a=3,b=4, c=2则cos B=________.

查看答案和解析>>

科目:高中数学 来源:2015-2016学年四川省高一上学期第一学月考数学试卷(解析版) 题型:选择题

如果A={x|x>-1},下列说法正确的是( )

A.0⊆A B.{0}∈A C.{0}⊆A D.∅∈A

查看答案和解析>>

科目:高中数学 来源:2015-2016学年四川成都市六校高二上学期期中联考文科数学试卷(解析版) 题型:解答题

(本小题满分12分)已知关于x,y的方程C:

(1)当m为何值时,方程C表示圆.

(2)若圆C与直线: x+2y-4=0相交于M,N两点,且MN=,求m的值.

查看答案和解析>>

科目:高中数学 来源:2015-2016学年四川成都市六校高二上学期期中联考理科数学试卷(解析版) 题型:选择题

若某几何体的三视图(单位:cm)如图所示,则此几何体的体积是

A. B. C. D.

查看答案和解析>>

科目:高中数学 来源:2015-2016学年湖北省宜昌市高一上学期期中考试数学试卷(解析版) 题型:填空题

已知幂函数的图像过点,则f(27)=________.

查看答案和解析>>

科目:高中数学 来源:2015-2016学年福建厦门双十中学高二上期中文科数学试卷(解析版) 题型:选择题

已知x∈R+,有不等式:x+≥2=2,x+≥3=3,….启发我们可能推广结论为:x+≥n+1(n∈N*),则a的值为 ( )

A.2n B.nn C.n2 D.2n+1

查看答案和解析>>

科目:高中数学 来源:2016届重庆市高三上学期期中文科数学试卷(解析版) 题型:选择题

在等比数列中,等于( )

A. B. C. D.

查看答案和解析>>

同步练习册答案