精英家教网 > 高中数学 > 题目详情

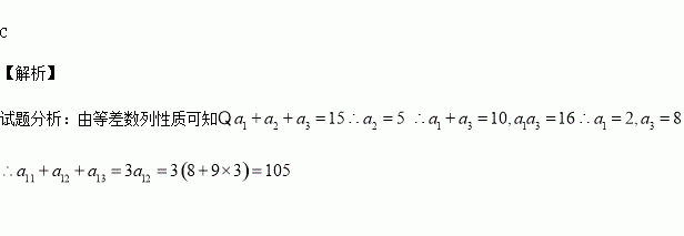
是公差为正数的等差数列,若,则 ( )

A、75 B、90 C、105 D、120

练习册系列答案
相关习题

科目:高中数学 来源:2015-2016学年湖北武汉二中高二上学期期中理科数学试卷(解析版) 题型:解答题

(本小题满分12分)已知圆,过圆上一点A(3,2)的动直线与圆相交于另一个不同的点B.

(1)求线段AB的中点P的轨迹M的方程;

(2)若直线与曲线M只有一个交点,求的值.

查看答案和解析>>

科目:高中数学 来源:2014-2015学年海南省高三下学期大测三文科数学试卷(解析版) 题型:填空题

甲、乙等五人排成一排,甲不排两端,且乙与甲不相邻,符合条件的不同排法有 种.(用数字做答)

查看答案和解析>>

科目:高中数学 来源:2015-2016学年江苏省高二上第一次联考数学试卷(解析版) 题型:填空题

已知圆与圆外切,则的值为

查看答案和解析>>

科目:高中数学 来源:2015-2016学年江苏省高二上学期第一次学情调研数学试卷(解析版) 题型:填空题

在△ABC中,已知a=3,b=4,sinB=,则sinA=     

查看答案和解析>>

科目:高中数学 来源:2015-2016学年河北省定州市高二上学期竞赛数学试卷(解析版) 题型:选择题

把11化为二进制数为( ).

A.1 011(2) B.11 011(2) C.10 110(2) D.0 110(2)

查看答案和解析>>

科目:高中数学 来源:2014-2015学年四川省高二下学期4月月考理科数学试卷(解析版) 题型:解答题

在某校趣味运动会的颁奖仪式上,为了活跃气氛,大会组委会决定在颁奖过程中进行抽奖活动,用分层抽样的方法从参加颁奖仪式的高一、高二、高三代表队中抽取20人前排就座,其中高二代表队有6人.

(1)把在前排就座的高二代表队6人分别记为a,b,c,d,e,f,现从中随机抽取2人上台抽奖,求a和b至少有一人上台抽奖的概率;

(2)抽奖活动的规则是:代表通过操作按键使电脑自动产生两个[0,1]之间的随机数x,y,并按如图所示的程序框图执行.若电脑显示“中奖",则该代表中奖;若电脑显示“谢谢”,则不中奖.求该代表中奖的概率.

查看答案和解析>>

科目:高中数学 来源:2014-2015学年湖北武汉外国语学校高二上学期期中考试文科数学试卷(解析版) 题型:填空题

在平面直角坐标系中,为原点, ,动点满足,则的最大值是

查看答案和解析>>

科目:高中数学 来源:2016届云南省高三适应性月考二理科数学试卷(解析版) 题型:选择题

已知双曲线C:的一条渐近线过点(一1,2),则C的离心率为( )

A. B. C、 D.

查看答案和解析>>

同步练习册答案