精英家教网 > 高中数学 > 题目详情

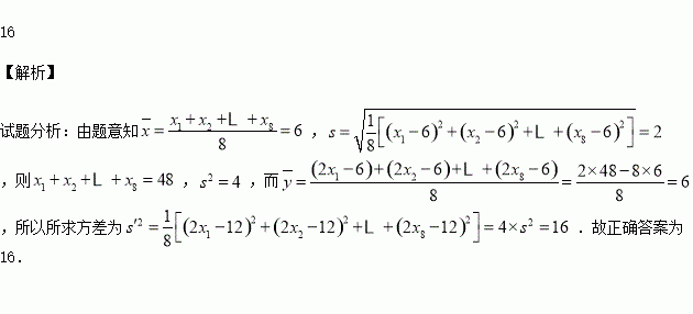
数据 平均数为6,标准差为2,则数据的方差

练习册系列答案
相关习题

科目:高中数学 来源:2016届浙江省等高三第一次五校联考理科数学试卷(解析版) 题型:选择题

已知等差数列的等差,且 成等比数列,若为数列的前项和,则的最小值为( )

A.4 B. 3 C. D.

查看答案和解析>>

科目:高中数学 来源:2015-2016学年辽宁省高二12月月考理科数学卷(解析版) 题型:解答题

已知某几何体的直观图和三视图如下图所示,其正视图为矩形,侧视图为等腰直角三角形,俯视图为直角梯形.

 

(1)求证:

(2)

(3)设中点,在边上求一点,使平面

查看答案和解析>>

科目:高中数学 来源:2015-2016学年宁夏石嘴山三中高二上期中文科数学试卷(解析版) 题型:填空题

设命题p:{x|x2-4ax+3a2<0}(a>0),

(1)如果a=1,且p∧q为真时,求实数x的取值范围;

(2)若?p是?q的充分不必要条件时,求实数a的取值范围.

查看答案和解析>>

科目:高中数学 来源:2015-2016学年宁夏石嘴山三中高二上期中理科数学试卷(解析版) 题型:填空题

以椭圆的焦点为顶点,顶点为焦点的双曲线方程为

查看答案和解析>>

科目:高中数学 来源:2015-2016学年江西省高二上第一次段考文数学卷(解析版) 题型:填空题

如图中,已知点边上,,则

的长为

查看答案和解析>>

科目:高中数学 来源:2015-2016学年江西省高一上第三次考试数学试卷(解析版) 题型:选择题

已知函数,又为锐角三角形两锐角则 ( )

A.

B.

C.

D.

查看答案和解析>>

科目:高中数学 来源:2015-2016学年安徽省高二上期中理科数学试卷(解析版) 题型:选择题

已知多项式f(x)=4x5+2x4+3.5x3﹣2.6x2+1.7x﹣0.8,用秦九韶算法算f(5)时的V1值为( )

A.22 B. 564.9 C.20 D.14130.2

查看答案和解析>>

科目:高中数学 来源:2015-2016学年安徽省高二上期中文科数学试卷(解析版) 题型:填空题

为了考察某校各班参加课外书法小组的人数,在全校随机抽取5个班级,把每个班级参加该小组的认为作为样本数据.已知样本平均数为7,样本方差为4,且样本数据互相不相同,则样本数据中的最大值为 ________.

查看答案和解析>>

同步练习册答案