精英家教网 > 高中数学 > 题目详情

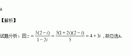
复数在复平面上对应的点在( )

A.第一象限 B.第二象限 C.第三象限 D.第四象限

练习册系列答案
相关习题

科目:高中数学 来源:2015-2016学年陕西省西安市高一下期末考试数学试卷(解析版) 题型:选择题

分别在区间,内各任取一个实数依次为,则的概率是( )

A.0.3 B.0.6 C.0.7 D.0.8

查看答案和解析>>

科目:高中数学 来源:2015-2016山西省高二5月模块诊断数学(理)卷(解析版) 题型:选择题

甲乙两人进行羽毛球比赛,比赛采取五局三胜制,无论哪一方先胜三局则比赛结束,假定甲每局比赛获胜的概率均为,则甲以的比分获胜的概率为( )

A. B. C. D.

查看答案和解析>>

科目:高中数学 来源:2016届河北省邯郸市高三下第二次模拟考试数学(文)卷(解析版) 题型:填空题

过双曲线的右焦点作与轴垂直的直线,直线与双曲线交于

两点,与双曲线的渐近线交于两点.若,则双曲线的离心率为_______.

查看答案和解析>>

科目:高中数学 来源:2016届河北省邯郸市高三下第二次模拟考试数学(文)卷(解析版) 题型:选择题

若曲线在点处的切线过点,则函数的极值为( )

A. B. C. D.

查看答案和解析>>

科目:高中数学 来源:2016届河北省邯郸市高三下第二次模拟考试数学(理)卷(解析版) 题型:解答题

已知函数,且曲线轴切于原点.

(1)求实数的值;

(2)若恒成立,求的值.

查看答案和解析>>

科目:高中数学 来源:2016届河北省邯郸市高三下第二次模拟考试数学(理)卷(解析版) 题型:填空题

过双曲线的右焦点作与轴垂直的直线,直线与双曲线交于

两点,与双曲线的渐近线交于两点.若,则双曲线的离心率为_______.

查看答案和解析>>

科目:高中数学 来源:2016届广东省湛江市普通高考测试卷(二)理科数学试卷(解析版) 题型:解答题

已知函数

(Ⅰ)若上单调递增,求实数的取值范围;

(Ⅱ)讨论的零点个数.

查看答案和解析>>

科目:高中数学 来源:2016届广东省深圳市高三第二次调研考试数学(文)试卷(解析版) 题型:选择题

在等差数列中,若前10项的和,且,则( )

A.4 B.-4 C.5 D.-5

查看答案和解析>>

同步练习册答案