精英家教网 > 高中数学 > 题目详情

已知A(0,1),B(2,m),若过点A和B且与x轴相切的圆有且只有一个,求m的值及此时圆的方程.

答案:略
解析:

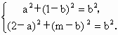
解:设所求圆的方程为

又点A(01)B(2m)在所求的圆上,

整理,得

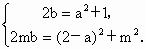
以下两式消去b,得

(1)m=1时,上述方程变为-4a4=0.∴a=1

此时2b=2,∴b=1

圆的方程为

(2)m1时,若适合题意的圆只有一个,则方程*应只有一根,

整理得

∴必有m=0

m=0代入*式中,得a=2.又

∴圆的方程为

综上所述,当m=1时,所求圆的方程为m=0时,所求圆的方程为


练习册系列答案
相关习题

科目:高中数学 来源: 题型:

已知
a
=(0,1),
b
=(3
3
,x)
,向量
a
与向量
b
的夹角是
π
3
,则x的值为(  )
A、±3
B、±
3
C、±9
D、3

查看答案和解析>>

科目:高中数学 来源: 题型:

已知A={0,1},B={-1,0,1},f是从A到B映射的对应关系,则满足f(0)>f(1)的映射有(  )

查看答案和解析>>

科目:高中数学 来源: 题型:

已知
a
=(0,1),
b
=(1,1)
,且(
a
+n
b
)⊥
a
,则n=
-1
-1

查看答案和解析>>

科目:高中数学 来源: 题型:

已知a=0.91.1,b=1.10.9,c=log20.9,则a、b、c按从小到大的顺序排列为
c<a<b
c<a<b

查看答案和解析>>

科目:高中数学 来源: 题型:

(2008•湖北模拟)已知A(0,1),B(-2,1),C(1,2),则
AB
AC
上的投影是(  )

查看答案和解析>>

同步练习册答案