精英家教网 > 高中数学 > 题目详情

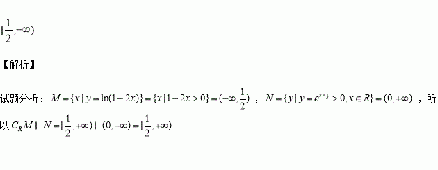
已知集合,集合,则 .

练习册系列答案
相关习题

科目:高中数学 来源:2016届河南省洛阳市高三考前综合练习五理科数学试卷(解析版) 题型:选择题

展开并合同类项后的项数是( )

A.11 B.66 C.76 D.134

查看答案和解析>>

科目:高中数学 来源:2016届海南师范大学附属中学高三临考模拟数学试卷(解析版) 题型:解答题

如图,四棱锥中,底面为平行四边形,且,平面 平面的中点.

(Ⅰ)证明:平面

(Ⅱ)在中,,三棱锥的体积是,求二面角 的大小.

查看答案和解析>>

科目:高中数学 来源:2016届海南师范大学附属中学高三临考模拟数学试卷(解析版) 题型:选择题

设集合,则使成立的的值是( )

A. B. C. D.

查看答案和解析>>

科目:高中数学 来源:2016届福建省高三下学期周考六理科数学试卷(解析版) 题型:解答题

已知菱形,半圆所在平面垂直于平面,点在半圆弧上.(不同于).

(1)若与平面所成角的正弦值为,求出点的位置;

(2)是否存在点,使得,若存在,求出点的位置,若不存在,说明理由.

查看答案和解析>>

科目:高中数学 来源:2016届福建省高三下学期周考六理科数学试卷(解析版) 题型:选择题

若函数在区间上有且只有两个极值点,则的取值范围是( )

A. B. C. D.

查看答案和解析>>

科目:高中数学 来源:2016届福建省高三下学期周考六理科数学试卷(解析版) 题型:选择题

设复数满足,则( )

A.1 B. C. D.2

查看答案和解析>>

科目:高中数学 来源:2016届贵州省高三第十次月考文科数学试卷(解析版) 题型:选择题

在由点确定的直线上,且,则的值为( )

A. B. C. D.

查看答案和解析>>

科目:高中数学 来源:2016届安徽师大附中高三最后一卷文科数学试卷(解析版) 题型:选择题

已知函数,若图象上存在两个不同的点与图象上两点关于轴对称,则的取值范围为( )

A. B.

C. D.

查看答案和解析>>

同步练习册答案