精英家教网 > 高中数学 > 题目详情

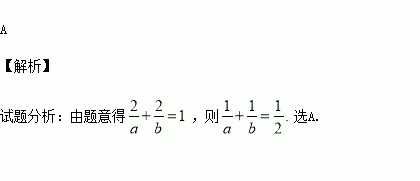
在由点确定的直线上,且,则的值为( )

A. B. C. D.

练习册系列答案
相关习题

科目:高中数学 来源:2016届海南省高三考前模拟理科数学试卷(解析版) 题型:选择题

的值是( )

A. B. C. D.

查看答案和解析>>

科目:高中数学 来源:2016届福建省高三下学期周考六理科数学试卷(解析版) 题型:填空题

已知集合,集合,则 .

查看答案和解析>>

科目:高中数学 来源:2016届贵州省高三第十次月考文科数学试卷(解析版) 题型:解答题

甲、乙两人各射击一次,击中目标的概率分别是.假设两人射击是否击中目标,相互之间没有影响;每人各次射击是否击中目标,相互之间也没有影响.

(Ⅰ)求甲射击次,至少有次未击中目标的概率;

(Ⅱ)求两人各射击次,甲恰好击中目标次且乙恰好击中目标次的概率;

(Ⅲ)假设某人连续次未击中目标,则中止其射击,则乙恰好射击次后被中止射击的概率是多少?

查看答案和解析>>

科目:高中数学 来源:2016届贵州省高三第十次月考文科数学试卷(解析版) 题型:选择题

分别为双曲线的左、右焦点,为双曲线的左顶点,以为直径的圆交双曲线一条渐近线于两点,且满足,则该双曲线的离心率为( )

A. B. C. D.

查看答案和解析>>

科目:高中数学 来源:2016届贵州省高三第十次月考文科数学试卷(解析版) 题型:选择题

若复数满足为虚数单位),则( )

A. B. C. D.

查看答案和解析>>

科目:高中数学 来源:2016届安徽师大附中高三最后一卷理科数学试卷(解析版) 题型:解答题

已知四棱锥中,平面,底面是边长为的菱形,.

(1)求证:平面平面

(2)设交于点中点,若二面角 的正切值为,求的值.

查看答案和解析>>

科目:高中数学 来源:2016届安徽师大附中高三最后一卷理科数学试卷(解析版) 题型:选择题

已知复数 ,则( )

A. B. C. D.

查看答案和解析>>

科目:高中数学 来源:2015-2016学年吉林省高一下期中数学试卷(解析版) 题型:选择题

A为△ABC的内角,则的取值范围是( )

(A) (B) (C) (D)

查看答案和解析>>

同步练习册答案