精英家教网 > 高中数学 > 题目详情

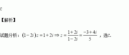
若复数满足为虚数单位),则( )

A. B. C. D.

练习册系列答案
相关习题

科目:高中数学 来源:2016届海南省高三考前模拟理科数学试卷(解析版) 题型:选择题

已知集合,集合为( )

A. B. C. D.

查看答案和解析>>

科目:高中数学 来源:2016届福建省高三下学期周考六理科数学试卷(解析版) 题型:选择题

若函数在区间上有且只有两个极值点,则的取值范围是( )

A. B. C. D.

查看答案和解析>>

科目:高中数学 来源:2016届贵州省高三第十次月考文科数学试卷(解析版) 题型:填空题

已知,则的概率为

查看答案和解析>>

科目:高中数学 来源:2016届贵州省高三第十次月考文科数学试卷(解析版) 题型:选择题

在由点确定的直线上,且,则的值为( )

A. B. C. D.

查看答案和解析>>

科目:高中数学 来源:2016届安徽师大附中高三最后一卷理科数学试卷(解析版) 题型:解答题

定义在上的函数满足.

(1)求函数的解析式;

(2)求函数的单调区间;

(3)如果满足,那么称更靠近.当时,试比较哪个更靠近,并说明理由.

查看答案和解析>>

科目:高中数学 来源:2016届安徽师大附中高三最后一卷理科数学试卷(解析版) 题型:填空题

展开式中的系数为

查看答案和解析>>

科目:高中数学 来源:2016届安徽师大附中高三最后一卷文科数学试卷(解析版) 题型:解答题

如图,四棱柱 的底面是菱形,底面,.

(1)证明:平面

(2)若,求点到平面 的距离.

查看答案和解析>>

科目:高中数学 来源:2016届江西省高三第三次模拟文科数学试卷(解析版) 题型:解答题

选修4-5:不等式选讲

已知使得关于的不等式成立.

(1)求满足条件的实数的集合

(2)若,且对于,不等式恒成立,试求的最小值.

查看答案和解析>>

同步练习册答案