精英家教网 > 高中数学 > 题目详情
已知tan(π+α)=﹣ ,tan(α+β)= .
(1)求tan(α+β)的值;
(2)求tanβ的值.
解:(1)∵tan(π+α)=﹣
∴tanα=﹣
∵tan(α+β)=
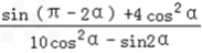
==
=
=
∴tan(α+β)==
(2)∵tanβ=tan[(α+β)﹣α]=
∴tanβ==
练习册系列答案
相关习题

科目:高中数学 来源: 题型:

已知tanα=-
1
3
cosβ=
5
5
,α,β∈(0,π)
(1)求tan(α+β)的值;
(2)求函数f(x)=
2
sin(x-α)+cos(x+β)
的最大值.

查看答案和解析>>

科目:高中数学 来源: 题型:

已知tanα,tanβ为方程x2-3x-3=0两根.
(1)求tan(α+β)的值;
(2)求sin2(α+β)-3sin(2α+2β)-3cos2(α+β)的值.

查看答案和解析>>

科目:高中数学 来源: 题型:

已知tan(θ+
π
4
)=-3
,则sin2θ+sinθcosθ-2cos2θ=(  )
A、-
4
3
B、
5
4
C、-
3
4
D、
4
5

查看答案和解析>>

科目:高中数学 来源: 题型:

已知tan
α
2
=2,
求;(1)tan(α+
π
4
)
的值;
(2)
6sinα+cosα
3sinα-2cosα
的值;
(3)3sin2α+4sinαcosα+5cos2α的值.

查看答案和解析>>

科目:高中数学 来源: 题型:

(1)已知sinα-cosα=
17
13
,α∈(0,π),求tanα的值;
(2)已知tanα=2,求
2sinα-cosα
sinα+3cosα

查看答案和解析>>

同步练习册答案