精英家教网 > 高中数学 > 题目详情

(本小题满分12分)

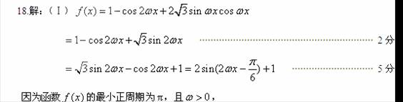
已知函数的最小正周期为

   (I)求的值;

   (II)求函数上的取值范围。

答案

所以,解得.      7分  

(Ⅱ)由(Ⅰ)得

因为,所以,  9分  

所以,因此

的取值范围为.    12分  

练习册系列答案
相关习题

科目:高中数学 来源: 题型:

(文) (本小题满分12分已知函数y=4-2
3
sinx•cosx-2sin2x(x∈R)

(1)求函数的值域和最小正周期;
(2)求函数的递减区间.

查看答案和解析>>

科目:高中数学 来源: 题型:

(2011•自贡三模)(本小题满分12分>
设平面直角坐标中,O为原点,N为动点,|
ON
|=6,
ON
=
5
OM
.过点M作MM1丄y轴于M1,过N作NN1⊥x轴于点N1
OT
=
M1M
+
N1N
,记点T的轨迹为曲线C.
(I)求曲线C的方程:
(H)已知直线L与双曲线C:5x2-y2=36的右支相交于P、Q两点(其中点P在第-象限).线段OP交轨迹C于A,若
OP
=3
OA
,S△PAQ=-26tan∠PAQ求直线L的方程.

查看答案和解析>>

科目:高中数学 来源: 题型:

(本小题满分12分)已知函数,且。①求的最大值及最小值;②求的在定义域上的单调区间.

查看答案和解析>>

科目:高中数学 来源: 题型:

(2009湖南卷文)(本小题满分12分)

为拉动经济增长,某市决定新建一批重点工程,分别为基础设施工程、民生工程和产业建设工程三类,这三类工程所含项目的个数分别占总数的.现有3名工人独立地从中任选一个项目参与建设.求:

(I)他们选择的项目所属类别互不相同的概率;    w.w.w.k.s.5.u.c.o.m    

(II)至少有1人选择的项目属于民生工程的概率.

查看答案和解析>>

科目:高中数学 来源: 题型:

(本小题满分12分)

某民营企业生产A,B两种产品,根据市场调查和预测,A产品的利润与投资成正比,其关系如图1,B产品的利润与投资的算术平方根成正比,其关系如图2,

(注:利润与投资单位是万元)

(1)分别将A,B两种产品的利润表示为投资的函数,并写出它们的函数关系式.(2)该企业已筹集到10万元资金,并全部投入到A,B两种产品的生产,问:怎样分配这10万元投资,才能使企业获得最大利润,其最大利润为多少万元.

查看答案和解析>>

同步练习册答案